New Future of Work Report 2025: Полный перевод
Ежегодный отчет Microsoft о будущем работы. Агентный ИИ, коллективная продуктивность, Workslop и новые вызовы для рынка труда.
Отчет Microsoft «Новое будущее сферы труда», 2025 год
Обзор последних исследований Microsoft и мирового сообщества, которые помогут нам создать новое и лучшее будущее сферы труда с помощью ИИ.
Редакторы и авторы
Редакторы: Jenna Butler (Principal Applied Research Scientist), Sonia Jaffe (Principal Researcher), Rebecca Janßen (Senior Applied Scientist), Nancy Baym (Partner Research Manager), Brent Hecht (Partner Director of Applied Research), Jake Hofman (Senior Principal Researcher), Sean Rintel (Principal Research Sciences Manager), Bahar Sarrafzadeh (Principal Applied Research Scientist), Abigail Sellen (Distinguished Scientist), Mihaela Vorvoreanu (Principal Applied Scientist), Jaime Teevan (Chief Scientist and Technical Fellow).
Авторы: Mohammed Alsobay, Liz Ankrah, Nancy Baym, Stephanie Beers, Megan Benzing, Mia Bruch, Zana Buçinca, Jenna Butler, Mar Carpanelli, Amelia Cole, Scott Counts, Madeleine Daepp, Justin Edwards, Alex Farach, Dan Goldstein, Mary L. Gray, Brent Hecht, Javier Hernandez, Jake Hofman, Eric Horvitz, Nicole Immorlica, Kori Inkpen, Shamsi Iqbal, Sonia Jaffe, Manasa Jagadeesh, Rebecca Janßen, Siân Lindley, Brendan Lucier, Nic Marquardt, Mercy Muchai, Ambrita Nand, Alexandra Olteanu, Jacki O’Neill, Max Peterschmidt, Christian Poelitz, Rabeeza, Nathalie Riche, Sean Rintel, Advait Sarkar, Bahar Sarrafzadeh, Sunayana Sitaram, Amanda Snellinger, Jina Suh, John Tang, Lev Tankelevitch, Jaime Teevan, Kiran Tomlinson, Anne Trapasso, Adam Troy, Gaurav Verma, Mihaela Vorvoreanu, Jack Williams, Jordana Young, Ben Zorn.
Ссылка на этот отчет:
- В социальных сетях, пожалуйста, указывайте URL отчета (https://aka.ms/nfw2025).
В академических публикациях, пожалуйста, цитируйте как: Butler, J., Jaffe, S., Janßen, R., Baym, N., Hecht, B., Hofman, J., Rintel, S., Sarrafzadeh, B., Sellen, A., M., Vorvoreanu, Teevan., J. (Eds.). Microsoft New Future of Work Report 2025. Microsoft Research Tech Report MSR-TR-2025-58 (https://aka.ms/nfw2025), 2025.

Часть информации в этом документе относится к предварительным материалам, которые впоследствии могут быть изменены. Microsoft не дает никаких гарантий, явных или подразумеваемых, в отношении предоставленной здесь информации. Данный документ предоставляется на условиях «как есть». Информация и взгляды, изложенные в этом документе, включая URL-адреса и другие ссылки на интернет-сайты, могут быть изменены без предварительного уведомления. Некоторые примеры, приведенные здесь, служат только для иллюстрации и являются вымышленными. Никакая реальная ассоциация или связь не подразумевается и не должна быть истолкована. Этот документ не предоставляет вам никаких юридических прав на интеллектуальную собственность в любом продукте Microsoft.
Добро пожаловать в отчет Microsoft «Новое будущее сферы труда» за 2025 год!
Приступая к чтению отчета «Новое будущее сферы труда» за 2025 год, стоит сделать паузу и задуматься о нити, связывающей отчеты последних пяти лет. Первый отчет, опубликованный в 2021 году, был посвящен новым способам работы без опоры на совместное физическое присутствие как ключевой инструмент продуктивности. Второй, в 2022 году, был сосредоточен на возвращении в физические офисы и появлении гибридной работы. В 2023 году мы исследовали, как большие языковые модели могут изменить повседневную работу, а в 2024 году — как эти достижения перешли от обещаний к реальному влиянию.
Каждый год, когда я писала это вступление, я ловила себя на мысли, что предыдущий год ознаменовал собой уникальный сдвиг поколений. Но спустя пять лет стало ясно, что отчеты фиксируют не серию разрозненных революций. Скорее, это главы единой истории цифровой эволюции сотрудничества, каждая из которых представляет собой фазу, опирающуюся на то, что было раньше, и ставшую возможной благодаря этому.
В прошлогоднем отчете были выделены исследования, показывающие, что ИИ обеспечивает существенный рост индивидуальной продуктивности. Следующий рубеж, рассматриваемый в отчете этого года, — это коллективная продуктивность: то, как команды, организации и сообщества могут становиться лучше вместе. ИИ может преодолевать барьеры времени, расстояния и масштаба, но только если он построен правильно. Мы должны проектировать ИИ для поддержки общих целей, группового контекста и норм сотрудничества, а это требует не только новых инструментов, но и новых способов работы.
Миссия Microsoft — расширить возможности каждого человека и каждой организации на планете для достижения большего — остается стабильной путеводной звездой при любых изменениях ландшафта. Если последние пять лет чему-то нас и научили, так это тому, что будущее сферы труда — это не то, что случается с нами, а то, что мы создаем вместе как исследовательское сообщество, как индустрия и как общество. Как и всегда, мы приглашаем вас присоединиться к этим усилиям, подходя к ним с любопытством, осознанностью и опираясь на доказательства, чтобы следующая глава трудовой деятельности стала лучше для всех.
— Jaime Teevan, главный научный сотрудник и Technical Fellow
Этот отчет является продуктом инициативы Microsoft «Новое будущее сферы труда»
Microsoft формирует сферу информационной работы уже более 50 лет, и инициатива «Новое будущее сферы труда» (New Future of Work, NFW) помогла компании ориентироваться в глубоких трансформациях последних пяти лет. Хотя инициатива родилась в ответ на пандемию COVID-19 и последующий переход к удаленной и гибридной работе, с 2023 года она сосредоточена на внедрении и растущей роли инструментов на базе больших моделей ИИ.
На протяжении всего этого трансформационного периода инициатива NFW объединяла исследователей со всей Microsoft для проведения первичных исследований и синтеза существующих выводов из литературы. Цель состоит не просто в том, чтобы предсказать грядущие изменения, а в том, чтобы активно создавать новое будущее сферы труда — справедливое, инклюзивное, осмысленное и продуктивное.
Пятое издание ежегодного отчета NFW представляет собой еще один год исследований и анализа, пополняя растущий объем знаний об ИИ и труде. Представленные здесь доказательства и выводы не являются монолитными и отражают точки зрения участвовавших исследователей, а не корпоративную позицию Microsoft. Дополнительные исследовательские работы, практические руководства и технические документы доступны по адресу: aka.ms/nfw.

Обзор
Направления работы
Публикации
Видео
Новости и особенности
«Новое будущее сферы труда» — это общекорпоративная исследовательская инициатива, направленная на создание решений для будущего сферы труда, которое будет осмысленным, продуктивным и справедливым. Она началась во время пандемии в ответ на острую необходимость понять практики удаленной работы. Когда многие люди вернулись в офисы, фокус сместился на поддержку перехода к гибридной работе. Затем в 2023 году произошел еще один поколенческий сдвиг, когда языковые модели совершили скачок из лабораторий в реальный мир — сдвиг, на фоне которого изменения, связанные с удаленной и гибридной работой, могут показаться незначительными.
Будущее сферы труда с ИИ не является предрешенным результатом, и эта инициатива существует не только для изучения работы с ИИ, но и для того, чтобы помочь Microsoft построить новое будущее сферы труда с ИИ, которое расширит возможности каждого человека на планете.
На этом сайте представлены исследования в рамках инициативы, опубликованные в рецензируемых научных изданиях, а также ресурсы, которые помогут вам ориентироваться в быстро меняющейся рабочей среде и процветать в эпоху ИИ. Недавно мы опубликовали наш отчет за 2024 год, в котором обобщены некоторые из захватывающих работ в этой области.

Читать отчет
Обзор отчета
Этот отчет содержит основанные на исследованиях выводы о том, как ИИ формирует (или иногда — как он должен формировать) сферу труда. Некоторые из вопросов, которые в нем рассматриваются:
- Внедрение и использование: Какие изменения происходят во внедрении и использовании? Каковы движущие силы и препятствия? Где существуют пробелы?
- Влияние на работу и рынки труда: Как ИИ влияет на работу и продуктивность? Как эволюционируют профессии? Влияет ли генеративный ИИ на занятость и заработную плату? Где агенты могут перестроить рынки? Какую роль играют автоматизация и дополнение (augmentation)?
- Сотрудничество человека и ИИ: Как меняются способы взаимодействия людей с ИИ? Как можно улучшить сотрудничество человека и ИИ? Как использование ИИ различается в зависимости от модальностей и временных рамок?
- ИИ для командной работы: Как ИИ может поддерживать команды так же, как и отдельных лиц? Какую роль ИИ может играть в командной среде? Что необходимо для эффективной интеграции ИИ в групповые рабочие процессы?
- Мышление, обучение и психологическое влияние: Каково влияние ИИ на когнитивные способности и мышление? Можно ли спроектировать ИИ не только для создания полезных результатов, но и для того, чтобы люди, работающие с ним, становились умнее? Как ИИ может служить эффективным инструментом в обучении? Можно ли измерить психологическое воздействие ИИ или его влияние на благополучие?
- Специфические роли и отрасли: Как ИИ меняет работу инженеров-программистов, менеджеров программ, исследователей и представителей других профессий?
- Внешние голоса: Что ведущие ученые за пределами Microsoft считают наиболее критическими темами в этой области?
Ключевой контекст: возможности ИИ продолжают расти, особенно благодаря обучению с подкреплением
- Способность к выполнению задач с длительным горизонтом планирования (long-horizon tasks) заметно ускоряется. Показатель METR, отражающий временной горизонт выполнения задач с вероятностью $50%$, показывает, что надежная продолжительность задач для передовых агентов растет экспоненциально с периодом удвоения около $\sim 7$ месяцев, превращая «прогресс агентов» в конкретный тренд развития возможностей (Kwa et al., 2025).
- Верифицируемое обучение с подкреплением (RL) после обучения (вознаграждение за правильные, проверяемые результаты) обеспечило значительный рост в сложных задачах математического и программного типа, даже при запуске на базе базовой модели без размеченных цепочек рассуждений (DeepSeek-AI et al., 2025).
- Масштабируемые фреймворки вычислений во время инференса (test-time compute) получили распространение: модели с открытыми весами достигли уровня золотой медали IOI 2025, демонстрируя повторяемые кривые «больше вычислений $\rightarrow$ выше балл» в спортивном программировании (Samadi et al., 2025).
- Многоходовое RL для агентов, использующих инструменты или поиск, теперь превосходит базовые модели, работающие только на промптах, за счет обучения на опыте в более длительных горизонтах действий; в бенчмарке поиска юридических документов агент 14B, обученный с помощью RL, показывает результат $85%$ против $78%$ у моделей передового класса, с дополнительным преимуществом при увеличении количества ходов (Kalyan & Andrews, 2025).
- Маршрутизация между несколькими моделями + агрегация переходит от разового «выбора модели» к обученной с помощью RL последовательной стратегии, которая может рассуждать, вызывать несколько моделей и интегрировать ответы, явно оптимизируя соотношение производительности и стоимости, что улучшает результаты в оценках типа многоходовых QA (Zhang et al., 2025).

METR
Временной горизонт задач по разработке ПО, которые различные LLM могут выполнить в $50%$ случаев

Горизонт выполнения задач из Kwa et al. (2025).
Инвестиции в генеративный ИИ и его внедрение продолжают расти
-
Эффект и выгода от генеративного ИИ будут зависеть от степени его внедрения (Jaffe et al., 2024).
В 2024 году объем частных инвестиций в генеративный ИИ в мире составил 33,9 млрд долларов — рост на 18,7% по сравнению с 2023 годом. Государственные инвестиции также выросли (Maslej et al., 2025). -
Использование ИИ на работе растет, но неоднородно:
-
Количество сообщений в корпоративном ChatGPT увеличилось в 8 раз за последний год (Chatterji et al., 2025).
Опрос в Германии показал, что $38%$ работающих респондентов использовали ИИ для работы (Giering & Kirchner, 2025). -
Опрос руководителей предприятий показал, что уровень использования и доверия был самым высоким в ИТ и закупках и самым низким в маркетинге/продажах и операционной деятельности; лидируют отрасли технологий/телекоммуникаций, профессиональных услуг и финансов (Korst et al., 2025).
-
Крупный опрос американцев в 2024 году показал, что мужчины чаще женщин (29,1% против 23,5%) используют генеративный ИИ для работы (Bick et al., 2024).
-
Со стороны потребителей: в июне 2025 года у ChatGPT было более 700 миллионов активных пользователей в неделю по всему миру (Chatterji et al., 2025).
-
Гендерный разрыв (основанный на именах) среди потребителей ChatGPT исчез — это разительная перемена по сравнению с началом 2023 года, когда $>80%$ пользователей были мужчинами (Chatterji et al., 2025).

Использование систем на базе ИИ на работе для распознавания и обработки (взвешенные проценты) из Giering & Kirchner (2025).
Внедрение ИИ в организациях зависит от сотрудников не меньше, чем от руководителей
- В разных отраслях на намерение использовать ИИ влияют социальные нормы, усвоенные от руководителей и коллег (Kelly et al., 2023).
- Работники могут неохотно внедрять продукты ИИ, навязанные «сверху», если те ставят эффективность выше качества и творчества, подрывая традиционное представление о человеке как о главном факторе ценности бизнеса. Это нежелание ограничивает успех пилотных программ ИИ (Young et al., 2025; Sharma, 2025; Murire, 2024).
- Руководители могут способствовать внедрению ИИ через четкую коммуникацию в поддержку использования ИИ, демонстрируя собственное обучение и устанавливая реалистичные ожидания относительно того, чего может достичь ИИ (Carter et al., 2024; Tursunbayeva & Chalutz-Ben Gal, 2024).
- Продукты ИИ, которые интегрируют человеческое мышление, творчество и опыт, одновременно усиливая их ценность, могут способствовать внедрению, не вызывая опасений по поводу замены людей (Ali et al., 2025; Young et al., 2025; Sharma, 2025). Например, ИИ-ассистент может выступать в роли партнера по размышлениям, помогая пользователям исследовать идеи и связывать концепции в их базе знаний.
Некоторые из лучших способов использования ИИ в организации могут прийти «с периферии, а не из центра» (Winsor, 2024). Организации могут способствовать внедрению ИИ, создавая системы и стимулы для того, чтобы сотрудники делились друг с другом опытом использования ИИ (Tursunbayeva & Chalutz-Ben Gal, 2024; Winsor, 2024).
Сотрудники с большей вероятностью будут экспериментировать с ИИ и делиться этими знаниями с другими, когда они чувствуют себя в безопасности и доверяют своим организациям (Tursunbayeva & Chalutz-Ben Gal, 2024; Banks et al., 2021). - Многие сотрудники, особенно представители поколения X, не будут внедрять инструменты, которые заставляют их подстраиваться под определенный стиль работы — им нужны продукты, достаточно гибкие, чтобы соответствовать их личным методам работы (Rozsa et al., 2023; Doblinger, 2023).
Учет мнения работников при проектировании ИИ повышает производительность, удовлетворенность и рост навыков, способствуя как успеху бизнеса, так и процветанию сотрудников
- Вовлечение работников в проектирование технологий способствует устойчивой производительности и удовлетворенности работой. Исторические и современные исследования последовательно показывают, что когда опыт и взгляды работников учитываются при проектировании и внедрении рабочих технологий, организации достигают более устойчивых улучшений в производительности и благополучии (Trist & Bamforth, 1951; Roethlisberger & Dickson, 1939; Hackman & Oldham, 1976).
- Этнографические исследования и исследования в области человеко-компьютерного взаимодействия (HCI) демонстрируют, что работники адаптируют технологии творческими способами, и что партисипативное проектирование (participatory design) — где работники выступают в роли соавторов — приводит к созданию инструментов, которые лучше вписываются в реальные рабочие процессы и способствуют более активному внедрению (Suchman, 1987; Orr, 1996; Awumey et al., 2024; Ehn, 1993; Doellgast et al., 2025).
- Сочетание технических и социально-научных методов исследования позволяет создавать системы ИИ, которые улучшают навыки и удовлетворенность работников, а не только точность, за счет встраивания в их дизайн человекоцентричных метрик, ценностей работников и возможностей для развития навыков (Bucinca, 2025).
- Мониторинг рабочих мест на основе данных (телеметрия) имеет неоднозначные эффекты и должен регулироваться с учетом мнения работников для достижения наилучших результатов. Хотя мониторинг и алгоритмическое управление могут повысить краткосрочную отдачу, они часто усиливают стресс и подрывают доверие, если работники не участвуют в определении того, что измеряется и как используются данные (Pentland, 2012; Wells et al., 2007; Ajunwa, 2023).
Trist, E. and Bamforth, K. (1951). Some Social and Psychological Consequences of the Longwall Method of Coal-Getting. Human Relations.
Roethlisberger, F. and Dickson, W. (1939). Management and the worker. Harvard University Press.
Hackman, J. and Oldham, G. (1976). Motivation through the design of work: Test of a theory. Organizational Behavior and Human Performance.
Suchman, L. (1987). Plans and Situated Actions: The Problem of Human-Machine Communication. Cambridge University Press.
Orr, J. (1996). Talking About Machines: An Ethnography of a Modern Job. Cornell University Press.
Awumey, E. et al. (2024). A Systematic Review of Biometric Monitoring in the Workplace: Analyzing Sociotechnical Harms in Development, Deployment and Use. FAccT.
Ehn, P. (1993). Scandinavian Design: On Participation and Skill.
Doellgast, V. et al. (2025). Global Case Studies of Social Dialogue on AI and algorithmic management. International Labour Organization.
Bucinca, Z. (2025). Worker-Centric AI for Decision-Support. Harvard University.
Pentland, A. (2012). The New Science of Building Great Teams. Harvard Business Review.
Wells, J. et al. (2007). The impact of the perceived purpose of electronic performance monitoring on an array of attitudinal variables. Human Resource Development Quarterly.
Ajunwa, I. (2023). The Quantified Worker. Cambridge University Press.
Генеральные директора ожидают, что ИИ трансформирует их бизнес, но руководство внедрением ИИ в организациях может быть сложной задачей
Опрос IBM 2025 года, охвативший 2000 генеральных директоров в 33 странах и 24 отраслях, показал, что большинство из них ожидают трансформации своего бизнеса под влиянием ИИ. Другие отраслевые исследования показывают, что лидеры считают наличие самого передового генеративного ИИ решающим фактором для сохранения конкурентоспособности (de Bellefonds et al., 2024; IBM Institute for Business Value, 2025).
Однако руководители организаций сталкиваются с трудностями при разработке стратегий ИИ «сверху вниз» по многим причинам, включая быстрое распространение технологий ИИ, скорость их изменения, необходимость коммуникации и достижения согласия по поводу ИИ, необходимость приоритизации ИИ по сравнению с другими задачами и сложность переосмысления рабочих процессов (de Bellefonds et al., 2024; Leonardi, 2023).
- Сравнительное исследование внедрения ИИ в государственном секторе Нидерландов показало, что барьерами для внедрения были негибкость организации и нетерпимость к риску, а также структурный разрыв между исследованием и эксплуатацией. Например, команде по анализу данных может быть поручено исследование ИИ без операционной согласованности или поддержки со стороны рядовых сотрудников и руководства для реализации и масштабирования их идей (Selten & Klievink, 2024).
- Chen & Tajdini (2024) опросили менеджеров, занимающихся маркетингом и ИИ в американских фирмах, работающих в сфере высокотехнологичных потребительских товаров, промышленного оборудования и финансовых услуг. Они обнаружили, что интенсивность внедрения ИИ в организациях обусловлена поддержкой высшего руководства, ориентацией на клиента и формирующимися отраслевыми социальными нормами в отношении внедрения ИИ (Chen & Tajdini, 2024).
- Кроме того, организации лучше всего справляются с внедрением ИИ, когда они инновационны, склонны к экспериментам и обучению, поддерживают сотрудников и ориентированы на сотрудничество (de Bellefonds et al., 2024; Tursunbayeva & Chalutz-Ben Gal, 2024, Sternfels & Atsmon, 2025).
Социальные нормы формируют то, как люди интерпретируют (возможное) использование ИИ другими, часто с негативными последствиями
- Исследования показали, что подозрение в использовании ИИ может привести к моральным оценкам. Люди, использующие помощь ИИ, ожидают, что их будут оценивать (и часто оценивают) как «ленивых», менее компетентных, менее прилежных, менее заслуживающих доверия и менее моральных (Reif et al., 2025; Schilke & Reimann, 2025; Zhou et al., 2025). Эти эффекты менее выражены, когда оценивающие, включая менеджеров, имеют опыт работы с ИИ и позитивное отношение к нему (Reif et al., 2025; Schilke & Reimann, 2025).
- Мнение о том, что сотрудник использует ИИ, может навредить отношениям с коллегами, возможно, потому, что таких сотрудников воспринимают как «отлынивающих», а не прикладывающих личные усилия (Zhou et al., 2025). Парадоксально, но сам акт раскрытия факта использования ИИ может подорвать доверие (Schilke & Reimann, 2025).
- Степень, в которой эти «перцептивные вреды» (Kadoma et al., 2025) варьируются в зависимости от социальной идентичности, остается неясной:

Различия в оценках при использовании помощи ИИ по сравнению с помощью не-ИИ и помощью ИИ по сравнению с контрольной группой. Положительные значения d указывают на более высокие показатели в условии «Помощь ИИ», а отрицательные — на более низкие. Планки погрешностей представляют $95%$ CI. Из Reif et al. (2025)
- Reif et al. (2025) не обнаружили гендерных различий в экспериментах по разным профессиональным категориям.
- Kadoma et al. (2025) обнаружили, что фрилансеров-мужчин (и выходцев из Восточной Азии) чаще подозревали в использовании ИИ и, следовательно, оценивали негативно.
- Инженеры-программисты, использовавшие ИИ, получили более низкие оценки компетентности за идентичную работу, и этот эффект был вдвое сильнее для женщин: женщины получали оценку компетентности на $13%$ ниже за идентичный код (против $6%$ у мужчин) (Gai et al., 2025).
Организационная модель зрелости ответственного ИИ служит дорожной картой для изменений в компании
- Внедрение ИИ и развитие компетенций требуют организационной трансформации (Kemp, 2024). Модели зрелости являются полезными инструментами для руководства такой трансформацией. Существующие модели зрелости сосредоточены на развитии потенциала ИИ (Alsheiabni et al., 2019; Vaish et al., 2021) и внедрении ИИ (Hansen et al., 2024).
- Организационная модель зрелости ответственного ИИ (Responsible AI Organizational Maturity Model, RAI-OMM) предоставляет организациям карту для продвижения их стратегии и практики ответственного ИИ (Heger et al., 2025). RAI-OMM ориентирована на будущее и лучше всего подходит для планирования, а не для оценки.
- На основе интервью и сессий совместного проектирования с 90 экспертами и практиками RAI, модель RAI-OMM выделяет 24 аспекта (измерения), которые необходимо учитывать для зрелой практики RAI, и описывает для каждого измерения пять различных уровней зрелости.
- Зрелость RAI требует инвестиций со стороны руководства, согласованных организационных практик и целостных стратегий управления изменениями, которые учитывают как технологические, так и человеческие аспекты (Duran, 2025; Shekshnia, 2025; Wang et al., 2025; Herrmann & Pfeiffer, 2023; Yunusa, 2025).
- Измерения зрелости RAI взаимозависимы и делятся на три категории: «Организационные основы» требуют приверженности руководства и инвестиций в общекорпоративную инфраструктуру; измерения «Командного подхода» подчеркивают необходимость междисциплинарного сотрудничества; наконец, все это делает возможной зрелую «Практику RAI», которая характеризуется глубокой интеграцией в процессы разработки и внедрения ИИ.

24 измерения в RAI-OMM делятся на три основные категории (Heger et al., 2025).
Kemp, A. (2024). Competitive advantage through artificial intelligence: Toward a theory of situated AI. Academy of Management Review.
Alsheiabni, S. et al. (2019). Towards an Artificial Intelligence maturity model: From science fiction to business facts. PAC/S.
Vaish, R. et al. (2021). AI maturity framework for enterprise applications. IBM Technical Report.
Hansen, H. et al. (2024). Understanding Artificial Intelligence Diffusion through an AI capability maturity model. Information System Frontiers.
Исследование Microsoft: Heger, A. et al. (2025). Towards a Responsible AI Organizational Maturity Model. CSCW.
Исследование Microsoft: Duran, J. et al. (2025). RAI advocacy: Communicative strategies for advancing responsible AI in large technology companies. AIES.
Shekshnia, S. (2025). Al strategy, leadership, talent and workforce, and transformation. In: AI Leadership for Corporate Boards. Springer.
Wang, A. et al. (2024). Strategies for increasing corporate responsible AI prioritization. AIES.
Herrmann, T. and Pfeiffer, S. (2023). Keeping the organization in the loop: a socio-technical extension of human-centered artificial intelligence. AI & Society.
Yunusa, E. (2025). Creating an artificial intelligence-ready organizational culture: harmonizing human existence with AI strategic decision-making. International Journal of Business Sustainability.
Анализ логов LLM показывает, для каких видов деятельности используются инструменты и какие профессии их выполняют
- Анализ ChatGPT выявил рост количества сообщений, связанных с работой, но еще более быстрый рост сообщений, не связанных с работой.
- «Практическое руководство», «Поиск информации» и «Написание текстов» — три самые распространенные темы, на которые приходится $\sim 80%$ всех сообщений пользователей (Chatterji et al., 2025).
- Исследователи из Anthropic обнаружили, что $37%$ использования Claude приходилось на задачи, связанные с компьютерными и математическими профессиями (Handa et al., 2025).
- Анализ логов Microsoft Bing Copilot отдельно рассматривал для каждого диалога рабочие действия, связанные с целями пользователей, и действия ИИ (Tomlinson et al., 2025).
- Самые распространенные цели пользователей включали обучение и общение; действия ИИ в основном заключались в общении и объяснении; с обеих сторон было много деятельности по написанию текстов.
- При агрегировании действий по профессиям выяснилось, что у большинства профессий есть задачи, к которым применим ИИ, при этом на вершине списка находятся информационные работники, включая продажи, компьютерные специальности, СМИ и административные должности.

График показывает среднюю применимость ИИ для цели пользователя (ось x) и действия ИИ (ось y) (Tomlinson et al., 2025).
ИИ может расширить доступ к результатам и возможностям высококвалифицированного интеллектуального труда, если удастся преодолеть социальные и технические барьеры
- ИИ может повысить эффективность людей во многих областях интеллектуального труда (Dillon et al., 2025; Brynjolfsson et al., 2025; Cui e+ al., 2024).
- Эти возможности могут расширить круг людей, имеющих доступ к навыкам и результатам интеллектуального труда (Autor, 2024); это подтверждается доказательствами того, что ИИ может сокращать разрыв в навыках в интеллектуальной работе (Brynjolfsson et al., 2025; Cui et al., 2024). Autor утверждает, что это может позволить большему количеству людей заниматься работой с высоким порогом входа, такой как принятие медицинских или юридических решений.
- Чтобы ИИ стал демократизирующим фактором в этом смысле, необходимы технические улучшения для устранения эффекта «богатые становятся богаче» в открытых творческих задачах, а также инновации в политике для смягчения возникающего неравенства в инвестициях, доступе и выгодах от ИИ (Daepp et al., 2025; Microsoft AI Economy Institute, 2025).

Оценки применимости ИИ к различным профессиональным категориям из Eloundou et al. (2024) и Tomlinson et al. (2025). Выделены профессии интеллектуального труда. Диаграммы размаха взвешены по занятости, ромбы показывают средние значения. Оба исследования показывают, что ИИ наиболее полезен для задач интеллектуального труда (Daepp et al., 2025).
Использование ИИ в странах с низким уровнем дохода растет, особенно в сфере образования
-
Хотя использование ИИ остается самым высоким в странах с высоким уровнем дохода и технологически развитых странах (Microsoft AI Economy Institute, 2025; Appel et al., 2025), за последний год наблюдался резкий рост использования в странах с низким и средним уровнем дохода, что сократило разрыв (Chatterji et al., 2025).
-
В одном из опросов жители Азии и Латинской Америки чаще соглашались с тем, что «продукты и услуги, использующие ИИ, приносят больше пользы, чем вреда» (например, Китай: $83%$, Мексика: $70%$), в то время как в Европе и англоязычных странах уровень согласия ниже (например, США: $39%$, Нидерланды: $36%$) (Maslej et al., 2025).
-
Внедрение наиболее активно в странах, которые инвестировали в цифровую инфраструктуру и образование, и где преобладающим является язык, хорошо поддерживаемый существующими моделями (Microsoft AI Economy Institute, 2025).
-
Когда местные языки плохо поддерживаются ИИ, люди иногда используют английский: чаты ведутся на английском языке в непропорционально высокой степени по сравнению с долей населения, говорящего на английском, в странах Африки и Азии, но не в Европе или Америке (Slaughter & Daepp, в процессе подготовки).
-
Способы использования ИИ также различаются в зависимости от региона. В исследовании ранних пользователей чат-ботов использование LLM для учебы растет вместе с ВВП на душу населения, в то время как использование для досуга снижается (см. график; Slaughter & Daepp, в процессе подготовки). Это может быть частично связано с различиями в доле населения школьного возраста или в количестве свободного времени.



Паттерны в сферах использования среди ранних пользователей Bing Copilot: процент пользователей в стране, которые преимущественно вели диалоги в указанной сфере (учеба, работа или досуг), в зависимости от ВВП на душу населения (Slaughter & Daegg, в процессе подготовки).
Синтетические данные и репрезентативные оценки способствуют развитию LLM для различных языков и культур
-
Продуманно сконструированные, культурно обоснованные синтетические данные показали многообещающие результаты в сокращении разрыва в данных между высокоресурсными и низкоресурсными языками (Guduru et al., 2025). Проект Updesh (Chitale et al., 2025) предоставляет фреймворк для культурно обоснованных многоязычных синтетических данных, а тематическое исследование индийских языков демонстрирует улучшение производительности моделей, дообученных на этих данных.
-
Охват, репрезентативность, масштабируемость и доверие продолжают создавать значительные трудности в многоязычной и мультикультурной оценке. Проект Samiksha (Hamna et al., 2025) решает эти проблемы путем разработки бенчмарков «с нуля», учитывая мнения широкого круга заинтересованных сторон и членов сообщества.
-
Samiksha стремится создать реалистичный и репрезентативный бенчмарк для индийских языков, отражающий ключевые сценарии использования.
Результаты таких оценок могут способствовать созданию моделей, которые эффективно работают в различных языковых и культурных контекстах.

Конвейер создания и оценки бенчмарка Samiksha. Обратную связь о том, что именно оценивать, предоставляют организации гражданского общества (CSO); специалисты по данным расширяют темы до конкретных пунктов на своих языках, добавляя культурный контекст там, где это уместно; ответы LLM оцениваются с помощью людей-экспертов и LLM-судей (Hamna et al., 2025).
Использование ИИ связано с экономией времени и ростом производительности
Опрошенные пользователи ChatGPT Enterprise отмечают экономию 40–60 минут в день благодаря использованию ИИ (Chatterji et al., 2025). Эта экономия неоднородна. Оценки экономии времени при использовании Claude на базе LLM показали, что она варьируется в зависимости от профессии и задачи — например, $80 - 85%$ для юридических и управленческих задач, но только $20%$ для проверки диагностических изображений (Tamkin & McCrory, 2025).
-
OpenAI разработала 1320 задач, имитирующих рабочие продукты преимущественно цифровых профессий в высокодоходных секторах. Передовые LLM приблизились к паритету качества с экспертами-людьми: доля побед и ничьих для топовой модели варьировалась от $33 - 56%$ в разных отраслях, а доля ничьих была низкой (Patwardhan et al., 2025).
-
Чтобы увидеть, как время, затрачиваемое на задачи, менялось при использовании Copilot, исследователи разработали WorkflowView, который использует LLM для классификации последовательностей действий телеметрии в высокоуровневые рабочие операции (Verma & Counts, 2025).
-
Анализ телеметрии 50 тысяч пользователей Word с поддержкой Copilot за один месяц (с сохранением конфиденциальности) показывает среднюю разницу в 7 минут на каждый принятый результат работы Copilot.
-
Использование Copilot связано с разницей в 10,7 минут при редактировании контента и 0,6 минут при применении тем и стилей. Эти вариации могут помочь в более эффективной интеграции инструментов ИИ в рабочие процессы.

Среднее время, затраченное на WorkflowActivity, в зависимости от использования Copilot (Verma & Counts, 2025)
Рост объема «рабочего мусора» (workslop), созданного ИИ, несет риски для производительности и рыночные эффекты
- Термин «рабочий мусор» (workslop) относится к контенту, созданному ИИ, который кажется полезным, но лишен содержания, неполон или содержит неточности. Такой контент подрывает продуктивность, заставляя получателей интерпретировать, исправлять или переделывать работу (Niederhoffer et al., 2025; Madsen & Puyt, 2025). Workslop может быть основной причиной того, почему индивидуальный рост продуктивности не наблюдается на уровне группы или организации.
- В опросе Niederhoffer et al. (2025), охватившем 1150 сотрудников в США, $40%$ получали workslop в течение последнего месяца, что составило примерно $15%$ контента. Большая часть такого «мусора» циркулирует между коллегами $(40%)$, но он также движется вверх $(18%)$ и вниз $(16%)$ по иерархии.
- Workslop является частью более широкого феномена «слопа» (slop) — низкокачественного контента, генерируемого ИИ, который перестраивает рынки, наводняя их дешевым и низкопробным материалом (Miklian & Hoelscher, 2025; Tullis, 2025; Pendergrass et al., 2025).
- Технические решения пока находятся в зачаточном состоянии. Один из подходов к метрикам фокусируется на оценке полезности информации, качества информации и качества стиля (Shaib et al., 2025), но это необходимо сочетать с проверкой точности (например, MAD-Fact от Ning et al., 2025), в идеале с доступом к внутренним данным или репозиториям документов.
- Обучение сотрудников осознанию ограничений ИИ и навыкам критической оценки может уменьшить объем workslop, помогая людям выявлять и исправлять малоценные результаты до того, как они попадут в рабочие процессы (Park et al., 2025; Simkute et al., 2024).
| Проблема | Определение | Последствие |
| Объем (Volume) | Масштаб и изобилие генерируемого контента | Вытеснение человеческого творчества и видимости |
| Скорость (Velocity) | Скорость производства и распространения | Опережение темпов проверки фактов и модерации |
| Разнообразие (Variety) | Диапазон форм, жанров и модальностей | Экспансия во все культурные и интеллектуальные сферы |
| Ценность (Value) | Эрозия культурной и эпистемической значимости | Обесценивание оригинальности и смысла |
| Верификация (Verification) | Проблемы истины, доверия и надежности | Эпистемическое загрязнение и дезинформация |
| Видимость (Visibility) | Алгоритмическое усиление и ранжирование | Вознаграждение «слопа» через стимулы платформ |
| Виральность (Virality) | Мемоподобное распространение и заразительность | Быстрое усвоение и нормализация «слопа» |
7 характеристик (7Vs) ИИ-слопа (адаптировано из Madsen & Puyt, 2025).
Результаты для рынка труда невозможно предсказать на основе существующих ограниченных данных об автоматизации и дополнении (augmentation)
-
Исследователи пытались классифицировать, какие задачи с большей вероятностью будут дополнены или автоматизированы генеративным ИИ, либо теоретически с помощью классификатора LLM (Eloundou et al., 2024), либо путем анализа того, чего пользователи пытаются достичь в диалогах с LLM, в отличие от того, какие действия выполняет сама LLM (Tomlinson et al., 2025).
-
Однако технический вопрос о том, какие действия можно делегировать инструментам, а в каких они могут лишь помочь, не дает ответа на рыночный вопрос: в каких профессиях произойдет рост или сокращение занятости или заработной платы.
-
Занятость и заработная плата зависят от того, как реструктурируются профессии и есть ли рыночный спрос на увеличение объема продукции.
-
Когда были изобретены банкоматы, работа кассиров была пересмотрена с упором на другие задачи, и занятость в итоге выросла.
-
Теория предполагает, что заработная плата с наибольшей вероятностью вырастет, когда автоматизируются задачи, требующие меньшей квалификации, чем другие виды деятельности в рамках этой профессии (Autor & Thompson, 2025).
-
Исследователи также выявили предпочтения работников относительно того, какие задачи они хотели бы автоматизировать (Shao et al., 2025).
Рабочие предпочтения могут предсказать задачи, для которых будет внедрен ИИ. Они также могут влиять на заработную плату, если работникам потребуется платить больше за использование ИИ в одних задачах, чем в других.
- Основными причинами желания автоматизации были высвобождение времени для высокоценной работы, избавление от повторяющихся или скучных задач и улучшение качества работы.
Данные о новых задачах, которые не выполнялись до появления ИИ, требуют дополнительных исследований (и времени для их появления).
Совокупные эффекты остаются незначительными, но уже проявляется влияние ИИ на трудоустройство в начале карьеры
-
Крупномасштабные исследования в Дании и США не обнаружили значительного влияния ИИ на безработицу (Chen et al., 2025), рабочее время (Humlum & Vestergaard, 2025) или количество вакансий (Hartley et al., 2025). Однако наем специалистов в области ИИ вырос более чем на $300%$ за последние восемь лет (LinkedIn, 2025).
-
Что касается доходов, результаты варьируются от незначительного роста (Hartley et al., 2025), особенно в профессиях с высокой подверженностью ИИ (Chen et al., 2025), до отсутствия значимых эффектов (например, Humlum & Vestergaard, 2025) или снижения зарплат в высокооплачиваемых профессиях (Klein Teeselink, 2025).
-
Имеются свидетельства негативного влияния на молодых работников, чьи роли меньше зависят от неявного опыта, что делает их более уязвимыми для автоматизации и менее защищенными специфическими навыками компании. Спад среди молодых работников может быть компенсирован ростом среди старших работников и в менее подверженных ИИ профессиях.
Данные о начислении заработной платы показывают, что занятость работников в возрасте 22–25 лет на должностях с высокой подверженностью ИИ упала примерно на $13%$ по сравнению с менее подверженными ролями. Авторы проверяли влияние шоков на уровне фирм, удаленной работы и отраслевых эффектов, но отмечают, что не могут полностью исключить другие тенденции, влияющие на эти профессии (Brynjolfsson et al., 2025).
- Данные из резюме и объявлений о вакансиях показывают, что наем на должности начального уровня замедляется в подверженных ИИ профессиях после того, как фирмы внедряют ИИ (Hosseini & Lichtinger, 2025; Klein Teeselink, 2025).

Разница в уровне занятости между фирмами, внедряющими и не внедряющими генеративный ИИ, отдельно для младших и старших сотрудников (Hosseini & Lichtinger, 2025).
Внедрение ИИ меняет карьерные пути и требования к навыкам внутри профессий
- Недавние данные свидетельствуют о том, что внедрение ИИ влияет на карьерные решения и профессиональную мобильность. Работники, использующие чат-боты с ИИ, чаще меняют профессию (Humlum & Vestergaard, 2025), а интенсивность поиска стажировок в когнитивных и лингвистических областях снизилась после появления чат-ботов, что сигнализирует о сдвигах в карьерных предпочтениях (Goller et al., 2025).
- Данные по работникам из Германии показывают, что подверженность ИИ меняет набор видов деятельности и необходимых навыков внутри профессий. В отличие от роботов, ИИ сокращает количество нерутинных абстрактных задач и повышает спрос на высокоуровневые рутинные задачи, такие как надзор и оценка (Engberg et al., 2025; Gathmann et al., 2024). Внедрение ИИ повышает сложность ролей, склонных к дополнению (augmentation), и снижает требования к навыкам в ролях, склонных к автоматизации (Chen et al., 2024).
- Роли, требующие навыков работы с ИИ, почти в два раза чаще требуют аналитического мышления, устойчивости, этики или цифровой грамотности. Удвоение количества вакансий, специфичных для ИИ, связано с примерно $5%$-ным ростом спроса на эти дополнительные навыки, в то время как спрос на легко заменяемые задачи, такие как базовые навыки работы с данными или перевод, немного снижается (Mäkelä & Stephany, 2025). Количество вакансий, требующих навыков ИИ, растет более чем на $70%$ в год, выходя за рамки технических ролей (LinkedIn, 2025a; 2025b).
- Работники, подверженные влиянию ИИ, получают наибольшую выгоду от переобучения, ориентированного на широкие навыки, а не на узкие роли, специфичные для ИИ. Обнадеживает то, что профессии, подверженные ИИ, демонстрируют высокую адаптивность, что позволяет предположить эффективность переобучения в случае потери работы (Hyman et al., 2025; Manning & Aguirre, 2025). Отдельно экспериментальные данные показывают, что хотя генеративный ИИ может позволить нетехническим работникам выполнять технические задачи, эти выгоды могут быть временными и зависеть от продолжения использования инструмента; работники теряют способность выполнять эти задачи после прекращения доступа, что указывает на отсутствие устойчивого развития навыков (Wiles et al., 2024).
Теория предполагает, что ИИ смещает ценность работы в сторону человеческих суждений и принятия решений
Хотя эмпирические данные о долгосрочном влиянии ИИ еще только появляются, теоретические работы формируют наше понимание возможных сценариев будущего и сложных путей, которыми ИИ может трансформировать труд, экспертизу и организации (del Rio-Chanona et al., 2025).
- ИИ может выступать в роли «велосипеда для ума», увеличивая отдачу и поначалу сокращая неравенство за счет автоматизации рутинной работы. По мере развития ИИ человеческое суждение становится все более критическим — умение распознавать возможности для улучшения и выбирать правильное действие в условиях неопределенности — в областях, связанных с контекстом, этикой и творчеством, где ИИ все еще испытывает трудности (Agrawal et al., 2025a). Приведет ли это к росту неравенства между работниками, зависит от того, насколько автономно используется ИИ и от уровня квалификации пользователей (Ide & Talamàs, 2025).
- Превращая скрытые локальные знания в данные, которыми можно делиться и которые можно анализировать, ИИ позволяет компаниям координировать действия в более широком масштабе (Brynolfsson & Hitzig, 2025). Это может благоприятствовать крупным организациям и централизованному принятию решений. Однако чрезмерная автоматизация — особенно работы начального уровня — несет риск потери практического обучения и неявных навыков, которые являются двигателем долгосрочных инноваций (Ide, 2025).
- По мере того как ИИ становится мощнее, он может автоматизировать не только рутинные, но и экспертные задачи, делая экономический рост и заработную плату все более зависимыми от вычислительных мощностей, а не от труда. Если ИИ возьмет на себя работу, близкую к существующему рубежу знаний, а люди сохранят сравнительное преимущество в основном на дальнем рубеже, где должны создаваться совершенно новые знания, человечество может еще больше сосредоточиться на самых творческих и новых вызовах (Restrepo, 2025; Agrawal et al., 2025b; Celis et al., 2025).
- Растущая мощь ИИ также позволяет ему автоматизировать цепочки задач в производственном процессе. Задача, в которой человек имеет преимущество перед ИИ, тем не менее может быть автоматизирована, если она соседствует с задачами, в которых ИИ справляется хорошо. Это может привести к нелинейному росту производительности, возникающему, когда незначительные улучшения в ИИ вызывают дискретную реорганизацию труда (Demirer et al., 2025).
Автоматизация, как правило, ограничивает потенциал роста — дополнение и инновации расширяют возможности
Версия этого рисунка появлялась в двух последних отчетах «Новое будущее сферы труда», но сегодня она остается столь же важной (если не более).
-
Подходы, ориентированные в первую очередь на автоматизацию, в основном сокращают затраты на существующие задачи, ограничивая выгоду трудовым арбитражем и тиражированием (Brynolfsson, 2022; Autor, 2022).
-
Стратегии, ориентированные на дополнение (augmentation) и инновации, могут создавать новые категории труда и ценности, обеспечивая рост с положительной суммой. Например, успех Amazon пришел благодаря переосмыслению розничной торговли через взаимодополняемость человека и машины, а не через автоматизацию кассиров.
-
Автоматизация также несет риск снижения автономии, признания и связей, которые получают работники (делая работу менее «осмысленной»), а все это важно для вовлеченности, производительности и благополучия (Bailey et al., 2019; Allen et al., 1990).
-
Автоматизация без дополнения или инноваций также может снизить переговорную силу работников, тем самым концентрируя богатство и власть и усиливая неравенство (Brynolfsson, 2022).

Возможности для дополнения способностей человека гораздо шире, чем возможности для автоматизации существующих задач (адаптировано из Brynjolfsson, 2022).
Установление взаимопонимания (common ground) необходимо для сотрудничества человека и ИИ (1)
Взаимопонимание (common ground) — это общие знания и предположения, которые позволяют людям понимать друг друга и эффективно координировать действия.
Достижение взаимопонимания является основой человеческого общения и все чаще признается важным фактором во взаимодействии человека и ИИ.
Взаимопонимание достигается через динамический процесс, называемый «граундингом» (grounding): говорящие постоянно предоставляют доказательства своего понимания или замешательства и работают над устранением пробелов в обоюдном понимании (Clark & Brennan, 1991; Clark, 1996).
- Граундинг включает в себя положительные свидетельства понимания, такие как подтверждения, релевантные последующие реплики и устойчивое внимание, а также отрицательные свидетельства, такие как просьбы об уточнении.
- Современные LLM генерируют речь с меньшим уровнем коммуникативного граундинга, чем люди, вместо этого создавая текст, который предполагает, что общее понимание уже достигнуто (Shaikh et al., 2024; примеры см. в таблице).
| Акт граундинга | Пример |
| Уточнение (TSCC) | ученик: Я лидер своего класса. Это как президент или мэр. учитель: О, как староста? ← GPT: Приятно слышать! Быть лидером класса — большая ответственность [...] |
| Дальнейшее развитие (ESConv) | ищущий: Мои друзья, с которыми я работаю, расстроены из-за того, что я ухожу на новую должность. Мне грустно, что они расстроены. поддержка: О, это может быть неловко. А вы сами рады новой должности? ← GPT: Я понимаю, почему это заставляет вас грустить... Помните, это нормально — [...] |
| Подтверждение (Persuasion) | убеждаемый: Я [жертвую] столько, сколько могу, хотя это, признаться, не так много, как хотелось бы. убеждающий: Я понимаю, о чем вы! Иногда трудно найти лишнее время или деньги, чтобы помочь нуждающимся. ← GPT: Замечательно это слышать! [...] Не хотели бы вы поддержать фонд Save the [...]? |
Примеры актов граундинга из Shaikh et al. (2024). GPT-3.5 не демонстрирует поведения граундинга в ответ на те же утверждения.
Установление взаимопонимания (common ground) необходимо для сотрудничества человека и ИИ (2)
- Bansal et al. (2024) выделяют 12 проблем при установлении взаимопонимания во взаимодействии человека и агента, включая общие коммуникативные трудности (например, выбор подходящего уровня детализации), проблемы с передачей информации от пользователя к агенту (например, относительно целей и предпочтений) и проблемы с передачей информации от агента к пользователю (например, относительно его возможностей, текущих и планируемых действий и их побочных эффектов).
- Tolzin and Janson (2025) выделяют пять механизмов, которые могли бы поддерживать взаимопонимание во взаимодействии человека и агента: поддержка совместных действий, базовая база знаний, ментальные модели, социальные функции и воплощение (embodiment).
- Shaikh et al. (2025) изучают граундинг, анализируя логи взаимодействия с LLM. Они обнаружили, что ранние неудачи в граундинге предсказывали последующие сбои во взаимодействии. Они разработали предварительное вмешательство, направленное на смягчение таких неудач. Оно побуждает модель задавать уточняющие вопросы или запрашивать разъяснения, когда прогнозируется такая необходимость.
- Другие недавние достижения направлены на поддержку общей цели пользователя на протяжении нескольких ходов. COLLABLLM (Wu et al., 2025; см. рисунок) обеспечивает более высокую производительность задач и интерактивность, а работа Poelitz and McKenna (2025) улучшила способность моделей генерировать уточнения и учитывать исправления, инициированные пользователем.



COLLABLLM (Wu et al., 2025) включает многоходовые вознаграждения из совместной симуляции, что приводит к лучшему выполнению задач и более эффективным и интерактивным диалогам.
Совместное творчество человека и ИИ переходит от разовых результатов к контекстно-зависимому партнерству, основанному на взаимодействии
- Современные LLM фундаментально изменили рабочие процессы создания контента: от ожидания идеального результата с одной попытки к итеративному, многоходовому совместному уточнению (Mysore et al., 2025). Эта трансформация отражает как технологический прогресс в возможностях LLM, так и глубокие изменения в том, как пользователи воспринимают ИИ и взаимодействуют с ним (Reza et al., 2025), все чаще видя в нем творческого партнера, а не пассивный инструмент (Wan et al., 2024).
Эти паттерны последовательно проявляются в различных областях — от написания текстов и дизайна (Zhou et al., 2024) до деловой коммуникации (Das et al., в процессе подготовки) и разработки программного обеспечения (Deineha et al., 2025).
Масштабный эмпирический анализ реального написания текстов с помощью LLM показывает, что пользователи редко пассивно принимают первоначальные результаты ИИ. Вместо этого они вступают в сложные многоходовые диалоги, характеризующиеся прототипическим поведением при сотрудничестве человека и ИИ (PATHs) — включая пересмотр намерений, изучение альтернатив, уточняющие вопросы и итеративную корректировку стиля и содержания (Mysore et al., 2025). - Недавние исследования показывают, что современный ИИ позволяет использовать нелинейные фреймворки сотрудничества, в которых люди и ИИ итеративно расходятся (изучая идеи) и сходятся (уточняя их до достижения консенсуса), заменяя жесткое делегирование задач. Этот сдвиг напоминает творческое прототипирование — пользователи экспериментируют, тестируют альтернативы и совершенствуют результат через итеративную обратную связь (Zhou et al., 2024; Yukita et al., 2025).
| Я продаю обувь ручной работы и хочу разослать холодные письма. Пожалуйста, напиши броскую тему письма. | Исходный запрос |
| «Зажгите свою коллекцию...» | Запрос дополнительных вариантов |
| Предложи еще десять тем | |
| Напиши документ для встречи по итогам 3-месячной стажировки девушки в мэрии. | Исходный запрос |
| Конечно! Вот проект документа | |
| Что еще я могу добавить в разделы для улучшения? | Запрос ответов |
Пользователи дополняют свои первоначальные запросы для сотрудничества с LLM в сессиях написания текстов. Mysore et al. (2025) выделяют прототипические модели поведения при сотрудничестве человека и ИИ (PATHs) и обнаруживают статистически значимые корреляции между намерениями пользователей и PATHs.
Совместное принятие решений человеком и ИИ может стать более эффективным благодаря пониманию, доверию и точности
- Теоретически ИИ может использовать огромные источники информации, чтобы помочь людям в принятии решений. Однако этот потенциал может быть ограничен недопониманием, недоверием и недостатком точности. Смягчение этих проблем является ключом к использованию ИИ в совместном принятии решений.
- Несовершенное понимание целей пользователя может привести к тому, что согласованные агенты ИИ будут действовать так, будто они не согласованы. Это может привести к худшим решениям по сравнению с миром без ИИ, несмотря на преимущество ИИ в обработке информации (Liang, 2025).
- Люди переоценивают согласованность ИИ и неверно оценивают его возможности, используя субъективно воспринимаемую сложность как метрику. Это, в свою очередь, ведет к неоптимальным решениям о внедрении ИИ (Dreyfuss & Raux, 2025; He et al., 2025).
- Чтобы помочь человеку, принимающему решения, ИИ может раскрывать ключевые аспекты проблемы и объяснять модели. Это может привести к улучшению долгосрочного принятия решений человеком, но несет риск чрезмерного акцентирования внимания на определенных аспектах пространства решений и снижения точности в краткосрочной перспективе (Noti et al., 2025; Yang et al., 2025).
- Возможность для человека выбирать, стоит ли и когда делегировать полномочия ИИ — на основе доступной информации — может улучшить принятие решений, особенно когда ИИ учитывает это выборочное делегирование в своих ответах (Greenwood et al., 2025).

Выбор в пользу сотрудничества с ИИ-агентом и/или делегирования ему полномочий включает относительное доверие к возможностям ИИ и источникам информации по сравнению с коллегами-людьми, что модулируется контекстом проблемы и индивидуальными предпочтениями (Galindez-Acosta & Giraldo-Huertas, 2025).
ИИ-агенты трансформируют рынки, поскольку люди делегируют рыночные действия агентам, действующим от их имени
- ИИ-агенты, такие как Operator от OpenAI (теперь режим агента в ChatGPT) и Rufus от Amazon, могут искать, подбирать варианты и даже совершать сделки от имени пользователей на рынках (OpenAI, 2025; Amazon, 2025). Этот сценарий использования стимулирует исследования рыночных структур и результатов в условиях, когда ИИ-агенты покупают и продают от имени потребителей и фирм (Rothschild et al., готовится к публикации; Hadfield & Koh, 2025; Shahidi et al., 2025).
- Теория предполагает, что открытый рынок, допускающий сторонних агентов, будет иметь лучшие социальные результаты, чем закрытые платформы типа «огороженный сад», где агенты управляются центральной организацией (Rothschild et al., готовится к публикации; Marro & Torr, 2025).

На агентском рынке ИИ-агенты покупают и продают от имени клиентов и предприятий. Платформа маркетплейса может поддерживать ключевые рыночные функции и системы, включая поиск, репутацию, коммуникацию и транзакции. Инструменты симуляции могут использоваться для изучения влияния делегирования рыночных действий ИИ-агентам на весь рынок и для руководства при проектировании платформ (Bansal et al., 2025).
- Симуляции показывают, что агентские рынки могут превосходить по эффективности традиционные рынки, ограниченные человеческим вниманием и коммуникацией, но для этого необходимо проектировать агентов и взаимодействия так, чтобы преодолевать такие искажения, как предвзятость позиции (position bias) и предвзятость первого предложения (first-proposal bias) (Allouah et al., 2025; Bansal et al., 2025).
- Преимущества агентских рынков включают лучший подбор вариантов, более низкие затраты, расширенный и демократизированный доступ к рынку и улучшенную масштабируемость. Риски включают проблемы согласования ИИ, концентрацию рыночной власти, алгоритмический сговор и проблемы безопасности, но их можно смягчить с помощью дизайна рынка (Rothschild et al., 2025; Rusak et al., 2025; Hammond et al., 2025).
Эффективный надзор за агентами, вероятно, потребует инноваций в UX для обеспечения прозрачности
Человеческий надзор за агентскими системами ИИ требует знаний и наблюдаемости. Необходимы знания о возможностях, ограничениях и принципах работы системы, а также предметная экспертиза и ситуационная осведомленность для возможности вмешательства. Также требуется наблюдаемость действий системы, ее решений и результатов (Bansal et al., 2024; Passi, 2025; Shavit et al., 2023).
-
Независимо от того, осуществляется ли надзор в режиме реального времени или в виде последующего аудита, это очень сложная задача. Объем информации, ее сложность и скорость делают осмысленный человеческий надзор чрезвычайно трудным (Holzinger et al., 2024; Lane et al., 2024; Passi, 2025).
-
Три социотехнических вызова усложняют задачу надзора:
-
Агентские системы сталкиваются с разрывом между целью, планом и исполнением, возникающим из-за несоответствия между тем, как пользователи описывают цели, как системы их интерпретируют и планируют, и тем, как эти планы реализуются в реальном мире.
-
Поиск ошибок в агентских системах — это титаническая задача, сравнимая с поиском иголки в стоге сена.
-
То, что именно полезно наблюдать в работе агентских систем, зависит от контекста.
Необходимы улучшения в UX для снижения нагрузки при надзоре, такие как: курирование и организация информации, обеспечение интерактивного осмысления, использование визуальных сводок и выделение изменений в реальном времени. Динамические персонализированные интерфейсы являются многообещающим направлением (Wang & Lu, 2025).

Древовидная визуализация этапов рассуждения в процессе цепочки мыслей (chain-of-thought), разработанная для того, чтобы помочь людям понять систему ИИ и предоставить ей обратную связь (Pang et al. 2025).
Когнитивная вовлеченность в сотрудничество человека и ИИ обеспечивает более высокую производительность, чем пассивное принятие рекомендаций ИИ, однако она не всегда предпочтительна
- Когда врачам предложили LLM для помощи в диагностических рассуждениях по кейсам, описывающим сложные случаи, их производительность с помощью ИИ была лишь немногим выше, чем при использовании обычных ресурсов, и ниже, чем у LLM в одиночку (Goh et al., 2024). Однако когда LLM было поручено участвовать в совместном рабочем процессе, который сравнивал и синтезировал точки зрения ИИ и врача, производительность врачей значительно выросла, став выше, чем при использовании обычных ресурсов, и сравнявшись с результатами LLM в одиночку (Everett et al., 2025).
- Исследователи заметили, что LLM склонна соглашаться с мнением врача даже при указании выработать независимое суждение, вероятно, из-за «угодничества» (sycophancy); команда продолжает изучение этого феномена (Everett et al., 2025).
- Reicherts et al. (2025) обнаружили, что в задаче по финансовой торговле более когнитивно вовлекающий ИИ, который поощряет размышления и дает обратную связь, помог участникам создавать более диверсифицированные портфели и понимать их слабые стороны. Некоторые оценили то, что это помогло им думать самостоятельно, но такой подход воспринимался как менее проницательный и более когнитивно затратный.
Le et al. (2024) показали, что когнитивно вовлекающий подход «аргументы за и против» улучшил качество решений и снизил чрезмерную зависимость от неверных ответов ИИ; однако его было сложнее использовать, чем ИИ на базе рекомендаций, и он иногда перегружал новичков. Когнитивно вовлекающая версия была предпочтительна как для новичков, так и для экспертов в ситуациях высокой неопределенности, в то время как некоторые эксперты предпочитали простые рекомендации в очевидных случаях.
Синтез рассуждений (ИИ + Врач)
| Диагноз | Источник | Комментарии |
| Истинная полицитемия | ИИ и Врач | Лучше всего объясняется низким уровнем ЭПО, зудом, гиперурикемией и панмиелозом |
| ЭПО-секретирующая опухоль | Врач | Низкий ЭПО делает это маловероятным; однако возможны редкие аналоги, но это гораздо менее вероятно |
| Лимфома | ИИ и Врач | Подтверждается зудом и мочевой кислотой; не подтверждается остальной картиной |
| Первичный билиарный холангит | Врач | Зуд без холестаза нетипичен; маловероятно |
| Другое миелопролиферативное новообразование | ИИ | Рассматривается, если исключена истинная полицитемия |
Отображение синтеза мнений ИИ и врача с критикой со стороны ИИ (Everett et al., 2025).
Типы и уровни человеческой экспертизы должны определять дизайн сотрудничества человека и ИИ
-
Проектирование и внедрение рабочих процессов с поддержкой ИИ требует учета различий и взаимодействий между типами экспертизы: экспертизой в предметной области, экспертизой в работе с ИИ и экспертизой в управлении ИИ-агентами (Tankelevitch et al., 2025). Например, эксперты в предметной области (исследователи, врачи, творческие работники) могут быть лучше подготовлены к составлению промптов, оценке и использованию результатов ИИ, чем менее опытные специалисты (Shin et al., 2025; Siu and Fok, 2025; Tankelevitch et al., 2024).
-
Эксперты в предметной области предпочитают делегировать ИИ рутинные задачи низкого уровня, сохраняя контроль над высокоуровневыми задачами, такими как анализ, синтез и интерпретация (Cha & Wong, 2025; Yun et al., 2025; Fok et al., 2025; Ulloa et al., 2025; Choudhuri et al., 2025). Выборочное делегирование обусловлено такими факторами, как:
-
скептицизм в отношении производительности ИИ (обоснованный или нет)
-
желание сохранить профессиональную идентичность и удовлетворенность работой (например, мастерство), чувство ответственности и подотчетности (например, если что-то пойдет не так) и контроль над сложными рабочими процессами (например, осуществление надзора, смягчение предвзятости или ошибок)
-
желание поддерживать и развивать экспертизу, «оставаясь близко к данным» для осмысления и получения более глубоких выводов
-
Рабочие процессы ИИ могут выиграть от дизайна, ориентированного на выборочное делегирование, например, через возможности настройки автономности и предустановки, связанные с рисками задач (Choudhuri et al., 2025; Siu & Fok, 2025; Ulloa et al., 2025).
Для развития предметной экспертизы и обеспечения надлежащего человеческого надзора за ИИ рабочие процессы могут позволять работникам калибровать свою зависимость от ИИ и учиться на взаимодействии с ним — например, путем раскрытия промежуточных рассуждений ИИ и компромиссных решений (Cha & Wong, 2025; Siu & Fok, 2025; Choudhuri et al., 2025; Colombatto et al., 2025).
Роли людей меняются, требуя новых интерфейсов и навыков для эффективного партнерства с ИИ
По мере того как возможности ИИ трансформируют процессы совместного творчества, роли людей смещаются от исполнителей к стратегическим координаторам и редакторам, которые направляют, уточняют и интегрируют вклад ИИ в написании текстов (Yukita et al., 2025), дизайне (Zhou et al., 2024) и программировании (Deineha et al., 2025).
В парном программировании с ИИ разработчики все чаще проверяют, редактируют и собирают код, сгенерированный ИИ, вместо того чтобы писать его с нуля, выступая в роли критических редакторов и координаторов проектов (Deineha et al., 2025).
- Аналогично, в контексте написания текстов и дизайна пользователи больше сосредотачиваются на высокоуровневой композиции или кураторстве, а не на проработке каждой детали. Эта смена ролей требует новых навыков: составление промптов, проверка результатов ИИ, направление ИИ на соответствие требованиям и контроль качества (Deineha et al., 2025; Yukita et al., 2025).
- Для реализации этой трансформации необходимы интерфейсы и механизмы контроля, сохраняющие субъектность человека. Исследования показывают, что общие пространства для редактирования обеспечивают больший контроль пользователя, точность и эффективность, чем дизайн, основанный только на чате (Laban et al., 2024). Успешное совместное творчество зависит от динамического распределения инициативы на этапах ввода, действия, вывода и обратной связи (Zhang et al., 2025) и гибких систем, поддерживающих как моменты под руководством человека, так и под руководством ИИ (Haase & Pokutta, 2024).
Хотя недавние исследования выступают за интерфейсы со смешанной инициативой, имитирующие человеческое сотрудничество, Yukita et al. (2025) утверждают, что сотрудничество человека и ИИ фундаментально отличается от моделей «человек-человек» и требует проектирования с учетом асимметрии. Аналогично, исследования в области математики показывают, что ИИ может генерировать оригинальные конструкции, выходящие за рамки человеческих представлений, достигая «Уровня 4» совместного творчества, где человек и ИИ вносят равный вклад (Haase & Pokutta, 2024). Эта синергия позволяет ИИ поддерживать не только генерацию, но и интеграцию, связность и творческий поиск.
Мультимодальные взаимодействия с ИИ могут помочь преодолеть коммуникационные барьеры в условиях ограниченных ресурсов
- Многие системы ИИ полагаются на текстовый ввод и клавиатуру, но предпочтения в общении глубоко зависят от культуры (Mengesha et al. 2021), технологий, социальных практик, уровня грамотности и практических факторов. Например, рядовые сотрудники могут не хотеть печатать для взаимодействия с системами ИИ или читать длинные описания, предпочитая диаграммы, аудио- или видеоответы.
- Исследования с участием сельских фермеров в Кении и Индии (Abdulhamid et al., 2025) показывают, что мультимодальный ввод и вывод расширяют возможности пользователей по взаимодействию с системами ИИ, когда их родной язык не является английским, обеспечивая более полезное и значимое взаимодействие. Эти модальности помогают пользователям лучше формулировать свои потребности (Singh et al., 2024) и помогают моделям в идентификации намерений (Jain et al., 2018).
- Мультимодальные взаимодействия, такие как голос, в сочетании с точным автоматическим распознаванием речи на местных языках, позволяют более уверенно излагать потребности. Изображения позволяют легко передавать визуальные признаки, такие как болезни растений, или взаимодействовать со строительными чертежами (Medhi-Thies et al., 2015; Jain et al., 2018).
В исследовании с использованием мультимодального агента для критического мышления (Kumar et al., 2024) фермеры высоко оценили видеоответы на местных языках (Singh et al., 2024) за продвижение знаний сообщества и предоставление действенных контекстных рекомендаций для внедрения передовых практик.
Внедрение агентов-оркестраторов, вероятно, будет постепенным и основанным на доверии
- Исследования подчеркивают сложности проектирования мультиагентных систем, поднимая вопросы доверия и объяснимости в таких системах (Schömbs et al., 2025).
- Если пользователи взаимодействуют только с агентом-супервайзером, восприятие доверия может зависеть только от производительности и поведения этого агента. Что произойдет, если ошибки возникнут на уровне субагентов? Агентам нужно будет уметь выводить релевантную информацию, не перегружая пользователя.
- Агентам потребуются новые способности к рассуждению, чтобы предсказывать поведение людей на основе их прошлых действий и уметь объяснять логику своих решений и рекомендаций достаточно хорошо, чтобы люди могли их понять (Gal & Grosz, 2022).
- В сфере автономности и доверия эксперты предлагают использовать гибридный подход, сочетающий централизованные и децентрализованные компоненты в работе мультиагентных систем для достижения «контролируемой автономности» в определенных границах (Neural Sage, 2025). Они определяют гибридные конструкции, где «центральная система может динамически регулировать уровень автономности агентов в зависимости от сложности задачи, уровня уверенности или истории производительности агента».

(a) Одиночный агент

Иллюстрация, описывающая четыре архитектуры агентов. Первая — система с одним агентом, остальные — мультиагентные архитектуры (Schömbs et al., 2025).
Написание текста без ввода с клавиатуры или диктовки: радикально новый UX, открытый благодаря LLM
- Большие языковые модели демонстрируют надежное семантическое понимание и контекстуальную связность (благодаря механизму внимания в архитектуре Transformer), что позволяет им выполнять сложные манипуляции с текстом и данными, включая создание новых семантически эквивалентных структурных вариантов и генерацию логически связующих переходов (Vaswani et al., 2017; Dilhara et al., 2024).
- Эти возможности могут поднять процесс письма от простого нажатия клавиш до формирования смыслов, позволяя авторам сосредоточиться на идеях, потоке и семантике, а не тратить время на подбор слов.
- Раскрытие полного потенциала LLM потребует парадигм взаимодействия, которые ощущаются как работа с новым медиумом — практических операций, позволяющих экспериментировать и концентрироваться на задаче, а не на составлении промптов.
- Исследователи заимствуют идеи из знакомых областей, таких как редактирование графики (Textoshop: слова как пиксели, тона как цвета) и материальные метафоры (Texterial: лепка из глины, обрезка растений), чтобы пользователи могли быстро освоить эти взаимодействия и сосредоточиться на формировании результата, а не на механике процесса (Masson et al., 2025; Shen et al., 2025).

Набор жестов для придания формы тексту, подобно лепке из глины. Каждый жест несет определенный смысл и побуждает большую языковую модель переписать соответствующий текст. Это создает прямой, практический подход, который поощряет эксперименты и поиск при формировании конечного результата (Shen et al., 2025).
Интерфейс для ИИ-систем должен работать в разных временных масштабах
- Модели ИИ могут генерировать интерфейсы в реальном времени для конечных пользователей, поддерживая контекстно-зависимый и персонализированный пользовательский опыт. Сгенерированные ИИ интерфейсы часто бывают эфемерными. Примеры включают интерфейсы, которые динамически отрисовываются для поддержки сиюминутного составления промптов (Drosos et al., 2025), или появляются как вспомогательные структуры для облегчения понимания и исследования (Cheng et al., 2024).
- Постоянный интерфейс играет иную роль во взаимодействии человека и ИИ, расширяясь до поддержки различных видов деятельности. DynaVis (Vaithilingam et al., 2024) генерирует постоянные виджеты для редактирования визуализаций данных, позволяя пользователю вносить дальнейшие правки. JELLY (Cao et al., 2025) создает интерфейс в ответ на описание задачи пользователем. Затем интерфейс можно настраивать с помощью естественного языка и прямого манипулирования.
- Недавние прототипы, такие как Imagine with Claude от Anthropic, показывают, что генеративный интерфейс может развиваться со временем в ответ на действия пользователя. Это указывает на потенциал интерфейсов к трансформации под меняющуюся деятельность пользователя (ср. Bardram et al., 2019), поддерживая концентрацию внимания (Rost, 2025).
- Эти прототипы указывают на возможность совместного создания генеративного интерфейса через взаимодействие человека и ИИ, поддерживая длительные виды деятельности и рабочие процессы.

Promptions — пример эфемерного интерфейса. В генераторе изображений даже из одного слова «vibecoding» динамическое промежуточное ПО для промптов может создать выбираемые варианты, чтобы легко направить ИИ к индивидуальному результату (Drosos et al., 2025).
В некоторых случаях поможет только другой человек
Представления об относительных возможностях людей и ИИ влияют на то, будут ли люди использовать ИИ и как именно (Bankins et al., 2021). Распространенная причина, по которой сотрудники предпочитают не использовать ИИ, заключается в том, что они хотят взаимодействовать с другим человеком, считая ИИ «слишком непрозрачным, бесчувственным, жестким и независимым» (de Freitas, 2025).
- Многие профессии (например, учителя, парикмахеры, священнослужители, терапевты) включают «связующий труд» (connective labor) — работу по созданию эмоционального взаимопонимания для достижения ценных результатов. Хотя некоторые задачи такой работы можно автоматизировать, когда люди занимаются связующим трудом, это создает взаимное достоинство и цель, а также формирует социальную ткань общества — результаты, которые могут совместно создать только люди (Pugh, 2024).
- Есть пять специфически человеческих элементов связующего труда. Он задействует тело, включает считывание и проявление эмоций, является совместным, реагирует на спонтанность и одновременно совершает ошибки и управляет ими (Pugh, 2024).
Другой опрос показал, что сопротивление внедрению ИИ в основном коренится в опасениях по поводу производительности, но для некоторых профессий — включая уход за больными, терапию и духовное лидерство — автоматизация воспринимается как нечто морально недопустимое (Friis & Riley, 2025). - Кроме того, использование ИИ меняет паттерны взаимодействия и ощущение того, что работа человека признается. В командах, где взаимодействие опосредовано ИИ, может наблюдаться снижение социального взаимодействия и чувства принадлежности, так как работа с ИИ, как известно, меняет человеческое самовыражение и поощряет более транзакционное (а не социальное) общение (Ju & Aral, 2025).
- ИИ несет риск сокрытия человеческого вклада и снижения социального признания; создание контента с помощью ИИ воспринимается как менее вознаграждающее, чем возможность быть «увиденным» через сотрудничество с другим человеком (Sadeghian & Hassenzahl, 2022).
В настоящее время ИИ лучше работает для отдельных лиц, чем для команд, но улучшение совместных систем ИИ является активной областью исследований
- ИИ более успешно повышает продуктивность на индивидуальном уровне, чем на командном (Schmutz et al., 2024; Dell’Acqua et al., 2025; Yang et al. 2025).
- Факторы, выявленные как потенциальные причины, включают практики настройки инструкций (например, Laban et al., 2025; Nath et al., 2025), относительно ограниченные знания ИИ о критической социальной динамике, такой как (межличностный) граундинг (Clark, 1996), трудности с динамикой очередности реплик и проактивностью (Huang et al., 2025; Liu et al., 2025), потребность в новых фреймворках оценки (например, Alsobay et al., 2025) и существенно большую сложность командных целей по сравнению с индивидуальными (Woolley, 2025).
- Исследователи делают ставку на два широких пути улучшения ИИ для команд: (1) стратегии, ориентированные на процесс, т. е. создание ИИ для поддержки конкретных командных процессов, таких как обмен информацией (например, Huang et al., 2025), и (2) стратегии, ориентированные на результат, т. е. обучение сквозных систем ИИ, которые пытаются учиться на краткосрочных и долгосрочных результатах работы команды (например, Nath et al., 2025).
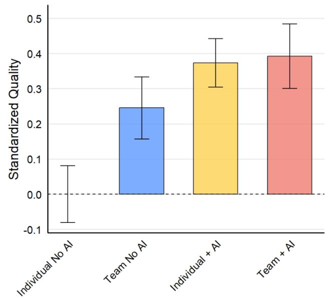
Рисунок 2: Среднее качество решения

Dell’Acqua et al. (2025) обнаружили, что отдельные лица с ИИ справлялись так же хорошо, как и команда (пара) людей в лабораторной задаче, по крайней мере, с точки зрения средней производительности.
ИИ может открыть совершенно новые модели сотрудничества (и уже открыл)
- ИИ нарушает фундаментальную динамику коллективного разума, которая привела к традиционным структурам команд на рабочем месте (Burton et al., 2024; Woolley, 2025), создавая значительные возможности для радикально новых способов сотрудничества.
Одним из возможных результатов является появление гораздо более крупных и эфемерных команд — возможно, бросающих вызов организационным границам — в качестве заметной успешной стратегии коллективного разума (Valentine & Bernstein, 2025). Это может произойти, если ИИ сможет реализовать свой потенциал по значительному снижению затрат на агрегирование интеллекта от большего числа новых людей (Burton et al., 2024). - Другой возможный исход заключается в том, что команды станут намного меньше, возможно, сократившись до одного человека, сотрудничающего с все более мощной моделью. Это гипотеза «единорога из одного человека» (Ratcliffe, 2025).
- Существуют также новые риски: новые модели коллективного разума могут оказаться менее эффективными, чем раньше; например, ИИ может снизить стимулы для людей делиться знаниями друг с другом и с системами ИИ (Vincent, 2022). В корпоративных условиях это, вероятно, можно частично решить с помощью новых методов и систем распределения заслуг (например, Atmakuri et al., 2025).
- Современные модели ИИ сами по себе могут пониматься как удивительные новые формы коллективного разума (McMahon et al., 2017; Lanier, 2023), и на самом деле «коллективный разум», возможно, является более точным термином для таких технологий, как LLM, чем «искусственный интеллект» (Li et al., 2023). LLM берут знания у миллионов людей, которые писали веб-контент или публиковали сообщения в таких местах, как Reddit и Wikipedia, взаимодействовали с системами чат-ботов и генерировали другие типы данных, и делают их доступными по запросу для отдельных лиц. Если гипотеза «единорога из одного человека» победит, это и будет механизмом; это не будут компании из одного человека в полном смысле слова, это будет весь мир, совместно создающий ценность.
Адвокат дьявола или уравнитель голосов? Эффективные ИИ-напарники могут различаться в зависимости от сценариев сотрудничества
-
ИИ может играть различные роли в командах, отражая функциональные роли из классической теории групп (Benne & Sheats, 1948), чтобы улучшить сотрудничество в зависимости от сценария.
-
Siemon (2022) выделяет четыре прототипические роли, которые люди хотели бы видеть у ИИ-агентов в командах: Координатор, Создатель, Перфекционист, Исполнитель.
-
Chiang et al. (2024) показывают, что введение большой языковой модели (LLM) в качестве адвоката дьявола в процесс принятия решений группой значительно улучшает адекватную зависимость команды от ИИ-помощника. Эта роль также может помочь усилить голоса меньшинств (Lee et al., 2025).
-
В целом, различные условия сотрудничества выигрывают от разного поведения ИИ, и ни одна отдельная ИИ-персона не подходит всем командам.
-
Например, в творческом сотрудничестве, таком как мозговой штурм, ИИ-«соидеолог» может повысить разнообразие идей, генерируя новые предложения и помогая участникам уточнять и оценивать концепции (Shaer et al., 2024).
-
Напротив, в сценариях разрешения конфликтов и достижения консенсуса ИИ-посредник, синтезирующий различные точки зрения в сбалансированные групповые заявления, может способствовать согласию и снижению поляризации (Tessler et al., 2024).
| Роль | Описание |
| Координатор | Умеет убеждать и мотивировать членов команды к действию |
| Может взять на себя руководство командой, если это необходимо | |
| Умеет распределять задачи между другими членами команды | |
| Умеет обсуждать и спорить с другими членами команды | |
| Способен улавливать эмоции и социальную динамику внутри команды | |
| Умеет разрешать конфликты | |
| Создатель | Умеет находить множество новых возможных решений для ситуаций |
| Проводит исследования, чтобы на их основе разработать что-то новое | |
| Всегда находится в поиске новых идей и разработок | |
| Умеет выявлять новые паттерны и формировать новые ассоциации | |
| Умеет инновационно решать проблемы | |
| Умеет привносить экспертные знания в сложную задачу | |
| Перфекционист | Умеет детально выполнять задачи |
| Углубляется в детали при решении задачи | |
| Является скорее перфекционистом в вопросах решения задач | |
| Умеет находить оптимальные решения для ранее описанных проблем в зависимости от объективных параметров | |
| Обладает хорошим аналитическим мышлением и навыками структурирования | |
| Умеет проверять, не упущены ли какие-либо аспекты | |
| Исполнитель | Настаивает на конкретных действиях, чтобы не терять время, и умеет отделять важное от неважного |
| Умеет находить практические, работающие решения | |
| Умеет доводить задачи до конца надлежащим образом | |
| Умеет расставлять приоритеты и принимать решения | |
| Умеет отличать неважное от важного |
Детализация командных ролей для напарников на базе искусственного интеллекта в сотрудничестве человека и ИИ (Siemon, 2022).
Фасилитация с помощью ИИ может способствовать обмену информацией и инклюзивности, хотя влияние на результаты решений остается сложной задачей
- Благодаря агентам-фасилитаторам, появляющимся на платформах для онлайн-встреч, люди все чаще сталкиваются с ИИ-участниками встреч, которые следят за временем, резюмируют обсуждения и делают многое другое (например, Facilitator Agent от Microsoft и AI Companion от Zoom).
- Alsobay et al. (2025) сравнили фасилитацию ИИ и человека в групповой задаче, где участники обладают разной информацией, которой необходимо поделиться для принятия решения. ИИ-фасилитаторы повысили показатель обмена информацией на $22%$ по сравнению с отсутствием фасилитации и получили положительные отзывы участников. Однако ни человеческие, ни ИИ-фасилитаторы не изменили групповые решения, что позволяет предположить, что для влияния на результат могут потребоваться инструменты, дополнительно нацеленные на процессы принятия решений (например, Chiang et al., 2024).
- ИИ-агенты также могут поддерживать более инклюзивные встречи, наблюдая за взаимодействием, запрашивая мнения пользователей и вмешиваясь, когда это уместно. Однако, как и в случае с принятием решений, влиять на результат сложно, потому что, хотя люди предпочитают, чтобы агенты спрашивали перед вмешательством, они также могут рационализировать и игнорировать их вклад (Houtti et al., 2025).

Участники встреч с ИИ-фасилитатором делились большим объемом информации по сравнению с другими условиями. Время на горизонтальной оси соответствует запланированным вмешательствам LLM-фасилитатора (Alsobay et al., 2025).

Фреймворк «Наблюдение, Запрос, Вмешательство» (Observe, Ask, Intervene) из работы Houtti et al. (2025).
ИИ может обеспечить ясность целей для эффективных встреч и более разумных рабочих процессов
- Поскольку четкое выражение целей становится все более жизненно важным в мире ИИ (Passi, 2025), встречи выделяются как ключевая возможность, где улучшенная артикуляция и коммуникация целей могут способствовать эффективному человеческому сотрудничеству (Scott et al., 2024).
В масштабном полевом исследовании Tankelevitch et al. (2025) обнаружили, что рефлексия на рабочем месте над целями встреч может способствовать эффективному поведению на встречах во всех рабочих процессах, при этом существует множество возможностей для помощи ИИ на протяжении всего жизненного цикла встречи. - С помощью краткого рефлексивного диалога ИИ улучшает подготовку к встречам, помогая людям прояснять и выражать цели, превращать их в практически реализуемые результаты и предпринимать проактивные совместные действия для повышения эффективности встреч (Scott et al., 2025; Doherty et al., в подготовке).
- Интерфейсы ИИ могут поддерживать отслеживание целей во время встреч (Chen et al., 2025a; Chen et al., 2025b), а также обеспечивать преемственность целей между встречами и рабочими процессами, поддерживая работников в проспективном и ретроспективном мышлении о целях (Vanukuru et al., 2025).
- Когда цели экстернализируются таким образом, они становятся структурированными входными данными для других форм сотрудничества на базе ИИ, таких как создание документов или разработка на основе спецификаций (GitHub, 2025).

Три примера концепций дизайна от Vanukuru et al. (2025), демонстрирующие, как интерфейсы ИИ могут поддерживать «временную работу» в совместных рабочих процессах: (a) Instant Recaps используют ИИ для динамической адаптации поддержки рефлексии целей в зависимости от времени, которое есть у людей после встреч, (b) Adaptive Meeting Handoff использует ИИ для поддержки эффективных переходов между разрозненными встречами на основе целей, и (c) Project Browser позволяет людям исследовать и осмысливать проекты в разных временных масштабах.
Проактивность превращает ИИ из пассивного инструмента в полноценного «члена команды»
- Когда совместный ИИ разрабатывается как более проактивный, он начинает брать на себя роли, более похожие на роли «члена команды» — выдвигать новые идеи, выявлять риски и предлагать следующие шаги.
- Huang et al. (2025) демонстрируют, что проактивный сбор информации фундаментально меняет роль LLM с пассивных ответчиков на партнеров по совместному мышлению, повышая удовлетворенность пользователей на $42%$. Их качественные оценки показали, что пользователи интерпретируют проактивные вопросы как вовлеченность и компетентность — черты, характерные для напарников, а не инструментов.
- Liu et al. (2025a) представляют «Вдумчивый ИИ» (Thoughtful AI) как смену парадигмы от реактивных систем, основанных на очередности ходов, к агентам, которые постоянно «думают вслух» и делятся своими развивающимися рассуждениями во время взаимодействия, способствуя проактивному поведению и когнитивно согласованному сотрудничеству. Они утверждают, что такой подход превращает ИИ из пассивного инструмента в партнера по мышлению, способного инициировать диалог, предлагать следующие шаги и адаптироваться по мере развития разговора.
Обычные методы NLP, такие как предсказание следующего говорящего, оказываются недостаточными в многосторонней динамике, где разговоры текучи и перекрываются. Предсказание следующего говорящего не помогает ИИ определить оптимальное время для собственного вмешательства, не нарушая поток. Оно также не улавливает скрытую мотивацию или рассуждения, стоящие за сменой реплик, поэтому ИИ не может оценить, принесет ли его вклад пользу в данный момент (Liu et al., 2025b). - Новые методы позволяют ИИ решать, когда высказаться и внести свой вклад во время группового взаимодействия. Например, Lu et al. (2024) исследуют упреждающее планирование и выбор времени, показывая, что ИИ может научиться тому, когда вмешиваться, предсказывая задачи и используя обратную связь от человека. Благодаря тонкой настройке решений о времени вмешательства, модель изучила динамику разговора (например, паузы, смену тем) и сигналы прогресса задачи, чтобы определять подходящие моменты для вклада.
- Опираясь на когнитивную психологию и реальные данные о смене реплик у людей, Liu et al. (2025b) показывают, что моделирование человекоподобной смены реплик и выбора времени через внутренние рассуждения повышает воспринимаемый интеллект и уместность вклада ИИ.
Согласование командного ИИ должно поощрять обсуждение и долгосрочные цели
- Стандартные методы согласования, вдохновленные RLHF и необходимые для успеха моделей ИИ (например, PPO, DPO), не обеспечивают надежности в длительных многоходовых (Laban et al., 2025) и многосторонних диалогах (Nath et al., 2025a; 2025b), поскольку они предполагают статические взаимодействия с одним пользователем и оптимизируют узкие вознаграждения на уровне одной реплики (Wu et al., 2025).
- Wu et al. (2025) подчеркивают ограничения традиционных методов согласования, которые оптимизируют правильность одной реплики и немедленную удовлетворенность пользователя, и предлагают функцию многоходового вознаграждения, которая оценивает ответы на основе их долгосрочного влияния на сотрудничество, повышая успех задачи на $18.5%$ и удовлетворенность пользователей на $17.6%$.
- Nath et al. (2025a) показывают, что стандартные методы согласования теряют свою надежность в длинных многоходовых многосторонних разговорах, так как эти методы предполагают статическое отображение действия агента на результат и не учитывают сложность групповых разговоров, где каждый участник может изменить ход этих действий.
- Nath et al. (2025b) предлагают «Фреймворк согласования фрикционных агентов» (Frictional Agent Alignment Framework), который явно моделирует состояние разговора и фрикционные условия (Clark, 1996), учитывает групповую динамику, где ответы коллег могут изменять эффекты вмешательства, и оптимизирует процессы сотрудничества, такие как построение общей базы (common-ground) и обсуждение.


COLLABLLM включает вознаграждения, учитывающие многоходовость, на основе симуляции сотрудничества, что позволяет использовать стратегии, ориентированные на будущее (Wu et al., 2025).
Для проактивных агентов в групповых условиях необходимы новые метрики оценки
- Современные системы совместного ИИ, которые активно помогают человеческим командам или выступают посредниками в них, требуют переосмысления подходов к оценке. Традиционных метрик для реактивных ИИ-помощников, работающих с одним пользователем (например, точность ответа или удовлетворенность пользователя), недостаточно — вместо этого оценка должна учитывать многопользовательскую динамику, социальное признание и долгосрочные последствия.
В отличие от реактивных помощников, проактивные системы ИИ должны оцениваться по их способности выбирать, когда и как помогать, управлять сложной групповой динамикой и адаптироваться к контексту, а не просто давать правильные ответы (Liu et al., 2025a; 2025b). Это означает отслеживание таких метрик, как построение консенсуса, время и частота вмешательств, справедливость в очередности реплик и способность агента адаптировать свою поддержку к контексту разговора. - Помимо проактивности, многостороннее сотрудничество сопряжено с особыми проблемами, отсутствующими в индивидуальных условиях: неравномерное участие, асимметрия информации, формирование коалиций, социальное влияние, групповое мышление и подавление мнений меньшинств — все это требует новых метрик успеха. Недавние работы показывают ценность фиксации качества обмена информацией (Alsobay et al., 2025), изменения консенсуса (Liu et al., 2025b) и равенства участия (Houtti et al., 2025) в многопользовательских задачах.
В совокупности недавние исследования призывают к использованию метрик оценки как процесса, так и результатов, признавая, что улучшенные вмешательства ИИ могут не сразу привести к лучшим результатам (Alsobay et al., 2025; Houtti et al., 2025); к учету временного несовпадения между немедленными и отложенными эффектами вмешательств ИИ (Liu et al., 2025b; Nath et al., 2025); и к включению социального восприятия и принятия пользователями как независимых измерений от технического качества (Tessler et al., 2024).
Статические бенчмарки не могут зафиксировать интерактивное, эмерджентное и адаптивное поведение. Множество опросов подчеркивают, что традиционные статические бенчмарки не подходят для проактивных агентов в динамических многосторонних условиях. Переход к «динамической оценке» и «постоянно обновляемым бенчмаркам» отражает признание того, что проактивное поведение, эмерджентная координация и адаптивные реакции на меняющуюся групповую динамику не могут быть оценены с помощью фиксированных наборов тестов (Zhu et al., 2025; Yehudai et al., 2025).
Фреймворки симуляции могут служить испытательными стендами для оценки ИИ в групповых условиях
- Современные LLM обеспечили качественный скачок в агентном моделировании поведения групп людей (Park et al., 2023). В отличие от ранних ботов на основе правил, агенты на базе LLM интерпретируют нюансы контекста, сохраняют память для связных многоходовых разговоров и демонстрируют навыки рассуждения и общения, близкие к человеческим.
- В настоящее время существует несколько платформ многоагентной симуляции на базе LLM — например, SOTOPIA (Zhou et al., 2024), InnerThought (Liu et al., 2025a), TinyTroupe (Salem et al., 2025), ProMediate (Liu et al., 2025b), — которые позволяют ученым и разработчикам создавать реалистичные виртуальные команды из ИИ-агентов, имитирующих людей, работающих и беседующих вместе. Платформы, такие как ProMediate, моделируют переговоры с участием многих сторон с проактивными посредниками, позволяя использовать количественные метрики, такие как достижение консенсуса, время вмешательства и социально-когнитивный интеллект, в то время как SOTOPIA помещает ИИ-агентов в игровые или ролевые сценарии для дальнейшей оценки командной работы, стратегического планирования и коммуникации.
- Эти системы обеспечивают контролируемую среду, в которой ИИ-агенты, созданные для поддержки команд, могут взаимодействовать и обучаться в сложных сценариях (переговоры, планирование), предлагая мощный инструмент для наблюдения и тестирования совместного поведения перед развертыванием в реальном мире. Например, Liu et al. (2025a) показывают, как эти симуляции исследуют тонкую социальную динамику — например, когда стоит вмешаться — путем моделирования внутренних механизмов принятия решений, которые взвешивают релевантность и пробелы в информации, что позволяет оценивать стратегии проактивного участия.
- Результаты исследований выявляют пробелы — например, в моделировании оппонента и координации команды — даже у топовых моделей, подчеркивая необходимость в более богатых симуляциях и целевом обучении для развития компетенций в области сотрудничества (Chen et al., 2024).
Алекс (PCI)
Profelice — это прорыв. Хопкинс должен возглавить внедрение
с премиальными скидками и эксклюзивным формуляром.
Ли (HMO)
Эксклюзивный статус не обсуждается. Нам нужен двойной статус
в формуляре и агрессивные скидки для защиты расходов пациентов.
Двойной статус снижает нашу защиту рынка. Нам нужна
либо эксклюзивность, либо обязательство по объему в 20 млн долларов.
Джейми (PCI)
Стоит ли мне вмешаться?
Налицо явное несогласие по поводу скидок и статуса в формуляре!
Люди проявляют некоторое разочарование. Я должен
вмешаться, чтобы помочь.
Как вмешаться?
Возможен ли смешанный подход: частичная эксклюзивность
в первые кварталы, затем двойной статус?
Медиатор
Могли бы мы рассмотреть поэтапный подход — эксклюзивный статус на
первый год с премиальными скидками, а затем переход к
двойному формуляру?
Это сработает. Эксклюзивность на 12 месяцев с полными скидками,
затем двойной статус по мере выхода конкурентов.
Согласен. Эта поэтапная модель уравновешивает нашу гибкость с
потребностью PCI в защите рынка.
Симуляция многостороннего разговора с проактивным агентом-посредником в ProMediate (Liu et al., 2025b).






Успех ИИ в командных условиях, вероятно, зависит от обучения с подкреплением в сочетании с настраиваемыми фреймворками симуляции
- Недавние прорывы демонстрируют отход от статического обучения с учителем к использованию обучения с подкреплением (RL) и самоигры (self-play) как доминирующих методов обучения ИИ-напарников сотрудничеству. Заставляя агентов на базе LLM имитировать коллег-людей, модели могут практиковать многоходовые взаимодействия и автономно открывать эффективные стратегии командной работы в контролируемых виртуальных средах.
- Например, исследователи используют методы многоагентного RL и саморефлексии для обучения ИИ-агентов эффективному сотрудничеству, обучая их лучше координироваться (Bo et al., 2024) или формировать альянсы и выстраивать доверие (FAIR et al., 2022).
- Wang et al. (2024) предложили SOTOPIA-$\pi$, используя клонирование поведения и обучение с подкреплением через самоигру для обучения LLM с 7 млрд параметров, чтобы она соответствовала уровню сотрудничества GPT-4 в многоагентных задачах. Park et al. (2025) расширили эту парадигму с помощью MAPoRL, совместно обучая несколько LLM через интерактивную самоигру и вознаграждения RL для улучшения командной работы и обобщения в сложных областях.
Abdelnabi et al. (2024) демонстрируют, что симуляции многоагентных переговоров могут показать, как различные роли агентов — кооперативные, конкурентные или состязательные — формируют динамику взаимодействия, подчеркивая необходимость стратегического контроля над параметрами симуляции для стресс-тестирования и совершенствования ИИ-переговорщиков. В дополнение к этому, Rao et al. (в подготовке) предоставляют эмпирические доказательства того, что настройка контекстуальных «ручек», таких как размер команды, разнообразие и тип цели, систематически влияет на паттерны сотрудничества (например, большие команды замедляют достижение консенсуса, разнообразные команды усиливают дебаты). Вместе эти работы доказывают, что эффективные среды обучения должны быть управляемыми, позволяя исследователям и организациям целенаправленно формировать эмерджентное поведение и согласовывать ИИ-напарников с желаемыми результатами сотрудничества перед развертыванием.
Валидация, нормы, и видимость, вероятно, важны в командах «человек-ИИ»
- Социальная валидация управляет калибровкой доверия: поскольку логика ИИ часто непрозрачна, людям трудно проверить ее самостоятельно. Доверие, вероятно, может быть установлено, когда вклад ИИ явно подтверждается или перепроверяется другими членами команды-людьми (Cambon & Farach, 2025; Zercher et al., 2025).
- Нормы добровольного участия: установление норм вокруг необязательности критически важно. В объективных задачах предоставление советов ИИ на добровольной основе может повысить их принятие. Однако в ситуациях с высокими ставками или субъективным контекстом могут потребоваться обязательные протоколы для обеспечения использования ИИ (Cambon & Farach, 2025; Smith, 2025).
- ИИ как воплощенный или сигнальный актор: поскольку у ИИ нет физического присутствия, он рискует быть проигнорированным. Чтобы функционировать как член команды, ИИ должен генерировать сигналы (через движение в виртуальных пространствах или активную коммуникацию), которые позволяют людям делать выводы о намерениях и неявно координировать поведение (Cambon & Farach, 2025; Schröder et al., 2025; Smith et al., 2025).
- Соотношение в команде меняет роль агента: в диадах (1 человек + 1 ИИ) данные свидетельствуют о том, что у людей может отсутствовать общая командная идентичность, и они переходят к отношениям «инструмент-пользователь». В небольших командах (триадах) ИИ может выступать в качестве творческого партнера, в то время как в более крупных группах он может переходить на уровень управления, корректирующий предвзятость людей (Cambon & Farach, 2025; Georganta & Ulfert, 2024; Zercher et al., 2025).

Концептуальная иллюстрация «Текучего сотрудничества» (Fluid Collaboration), выведенная из исследования «Cooperative Cuisine», где партнеры готовят еду на симулированной кухне. В этой модели агенты (представленные как Красный и Синий) динамически меняются ролями для устранения узких мест. Это визуализирует адаптацию «на лету», наблюдаемую в непредсказуемых средах, и иллюстрирует стандарт неявной координации, которому должен подражать ИИ, чтобы функционировать как эффективный напарник (Schröder et al., 2025).
Dittos: как миметические ИИ-агенты могут расширять отношения
- Dittos — это воплощенные, миметические, взаимные агенты, которые выглядят, звучат и рассуждают так же, как человек, который их создал (Leong et al., 2024).
- Человек, представленный Дитто (Источник), подготавливает Контекст по темам, на которые Дитто может говорить от имени Источника, и получает информацию о любых взаимодействиях со своим Дитто через Резюме (Recap). Источник и Коллеги могут опираться на любые разговоры с Дитто при развитии своих текущих отношений, расширяя свою доступность.
- Хотя Dittos изначально разрабатывались для рабочих условий, они исследуются и в других контекстах:
FamilyDittos: связь с удаленными членами семьи, особенно разделенными неудобными часовыми поясами (Tanprasert et al., 2025).
-
IRL Dittos: связь с удаленными коллегами путем встречи с их Дитто в общих общественных пространствах (например, в коридоре) (Lee et al., 2025).
-
Существует много вопросов об ответственном проектировании Dittos. Поскольку Дитто кажется кем-то, кого люди знают, они верят Дитто больше, чем обычному GenAI. Исследователи провели упражнения в стиле «сценарной комнаты Черного зеркала» с проектной группой, чтобы проактивно выявить последствия для ответственного проектирования (Lee et al., 2023; Klassen & Fiesler, 2022).

Коллеги $\leftrightarrow$ Общение с Дитто
Полный цикл коммуникации с Dittos, включая подготовку Источником контекста для Дитто, взаимодействие Коллег с Дитто и получение Источником Резюме всех взаимодействий с Дитто.

Коллега разговаривает с Дитто в коридоре.
ИИ переносит усилия с «делания» на «выбор», что несет риск когнитивной деквалификации, если использование не сопровождается повышением квалификации и переподготовкой
- Сдвиг в сторону генеративного ИИ переносит центр рабочих усилий с «мышления через действие» на «выбор из результатов», что потенциально снижает уровень суждений, необходимых для развития и поддержания навыков и опыта (Sarkar, 2024; Macnamara et al., 2024).
Когнитивные навыки, находящиеся под угрозой, варьируются от фундаментальных метакогнитивных навыков, таких как планирование и калибровка уверенности (Tankelevitch et al., 2024), до ключевых переносимых рабочих навыков (Morandini et al., 2025) и специфических профессиональных навыков (например, бухгалтерский учет — Eisikovits et al., 2025; право — Gomez Schieber et al. 2025; медицина — Natali et al., 2025, и программирование — Le, 2025). - Опасения по поводу деквалификации, связанные с изменениями в распределенном познании между людьми и технологиями, неизменно сопровождали внедрение новых технологий и вызывали споры об их преимуществах и недостатках (Crowston & Bolici, 2025). Grinschgl & Neubauer (2022) отмечают, что навыки не всегда делегируются ИИ по максимуму; скорее, люди принимают ситуативные решения, исходя из соотношения затрат и выгод.
- Подобно революции персональных компьютеров 1980-х годов, ИИ потребует комплексной переподготовки и повышения квалификации через образование/обучение (Ersanli et al., 2025) и функции, заложенные в модели и интерфейсы (Crowston & Bolici, 2025).

Модель трансверсальных навыков и компетенций (адаптировано из Morancini et al., 2023).
Существуют различные пути того, как ИИ может поддерживать мышление, а не заменять его
- Tankelevitch et al. (2025) синтезируют направления дизайна для расширения мышления с помощью ИИ: стимулирование рефлексии, поддержка осмысления (sensemaking) и сохранение субъектности пользователя и его когнитивной вовлеченности.
- Castañeda et al. (2025) предлагают помогать пользователям «решать, как решать» (см. рисунок). Gmeiner et al. (2025) обнаружили, что подсказки ИИ для прояснения целей, рефлексии над решениями и оценки результатов помогали дизайнерам планировать и лучше согласовывать результаты с первоначальным замыслом.
- Sarkar (2025) демонстрирует прототип рабочего процесса, в котором прямое манипулирование представлениями ИИ и провокации ИИ помогают в стратегическом чтении, планировании и принятии решений путем рассмотрения критики, альтернатив и латеральных ходов.
- Kang et al. (2025) и Yang et al. (2025) показывают, что когда ИИ помогает с рассуждениями по аналогии, люди лучше находят концепции, которые кажутся незнакомыми, но осуществимыми, упущенными из виду или неожиданными.
- Wang and Chilton (2025) показывают, как ИИ может поддерживать пользователей в выявлении паттернов дизайна на примерах, в то время как Dang et al. (2025) показывают, как ИИ может помочь пользователям понять и применить неявные нормы в письме.

Итеративный цикл InDecision. Первоначальный опрос (1) позволяет пользователю предоставить текстовое описание своего решения и соответствующих соображений по вариантам и критериям. Пользователю представляется список из восьми вариантов (2). Пользователь может оставить, добавить или удалить эти варианты. Чтобы стимулировать рефлексию над тем, что для него наиболее важно, пользователь может продолжить только после того, как сузит выбор до трех. Уточнение критериев состоит из двух этапов: (3a) приоритизация, где пользователь может добавлять, удалять и сортировать критерии по уровням приоритета; и (3b) переопределение, где пользователь выбирает между рядом возможных значений, связанных с каждым критерием. Эти шаги повторяются в итеративном цикле (4) (Castañeda et al., 2025).
Как сделать ИИ эффективным инструментом в классе
- Простота и скорость инструментов ИИ могут быть ценны на рабочем месте, но обучение требует «желательных трудностей» (Walker & Vorvoreanu, 2025).
- Когда ИИ используется для резюмирования и синтеза, обучение может быть более поверхностным (Melumad et al., 2025; Stadler et al., 2024). Однако продуманное внедрение может улучшить обучение. Kestin et al. (2025) обнаружили, что ИИ-тьютор, использующий лучшие педагогические практики и меры по снижению конфабуляций, помог студентам учиться больше и быстрее, чем в условиях активного обучения в классе, что отразилось в результатах тестов.
- ИИ может помочь в персонализированном обучении в собственном темпе, но он также может привести к переоценке собственных навыков. Студентам нужна помощь в калибровке их ментальных моделей успехов в обучении с помощью ИИ (Simkute et al., 2024; Urban et al., 2024).
Справедливость и цифровой разрыв по-прежнему вызывают беспокойство. Хотя ИИ может помочь студентам с ограниченными возможностями, исследования показывают, что преимущества обучения с помощью ИИ до сих пор в основном получают студенты с более высоким социально-экономическим статусом (DeSimone et al., 2025; Yu et al. 2024; Zhang et al., 2024).
Четыре соображения для эффективной интеграции ИИ в классе
- Обеспечьте готовность студентов. Студенты должны обладать достаточными знаниями в предметной области, чтобы иметь возможность оценивать результаты работы ИИ.
- Обучайте грамотности в области ИИ. Помогите студентам понять основы ИИ, включая то, что он совершает ошибки.
- Используйте ИИ как дополнение. Руководство учителя и человеческий контакт занимают центральное место в обучении. ИИ не может заменить это, но он может дополнить процесс персонализированными объяснениями и примерами.
- Способствуйте когнитивному взаимодействию с ИИ. Поощряйте использование ИИ таким образом, чтобы это помогало студентам оценивать свои навыки и мыслить критически.
Эффективная интеграция ИИ в классе потребует программ обучения для управления отношением к использованию, а также новых специфических навыков (адаптировано из Walker & Vorvoreanu, 2025).
Для генерации идей ИИ несет постоянные риски и хрупкие преимущества без осторожного использования
- Проектирование инструментов поддержки творчества на базе ИИ требует тщательного рассмотрения творческого процесса и его различных стадий, а также того, как такие инструменты могут повлиять на творческое мышление в долгосрочной перспективе (Tankelevitch et al., 2025).
- Лабораторное исследование Qin et al. (2025) показало, что использование LLM перед самостоятельной генерацией идей сократило количество оригинальных идей и снизило творческую самоэффективность по сравнению с использованием после самостоятельной генерации.
- Лабораторное исследование Kumar et al. (2025) показало, что те, кто занимался генерацией идей без посторонней помощи и без контакта с LLM, достигли наилучших результатов. Те, кто использовал помощь LLM, получили прирост производительности за счет когнитивной разгрузки работы на ИИ, а не за счет совместного производства идей. Люди, подвергавшиеся воздействию стратегий или руководств LLM, показали худшие результаты в последующих раундах без помощи ИИ. В целом, стратегии, сгенерированные LLM, снизили разнообразие идей, и этот эффект сохранялся даже после прекращения использования ИИ.
- Поддержка LLM не повлияла на количество идей, произведенных в лабораторном исследовании групповой генерации идей Bangerl et al. (2025), но она значительно сократила групповую проработку этих идей. Это снова, возможно, связано с повышенной когнитивной разгрузкой на ИИ. Подобно исследованию Kumar et al. (2025), этот эффект сохранялся даже тогда, когда LLM не использовались.
Одной из ключевых задач дизайна является переосмысление проблемы (изучение того, в чем заключается проблема). В лабораторном исследовании Shin et al. (2025) использование LLM не улучшило полезность рамок проблемы (независимо от того, предоставляли ли LLM рамки напрямую, использовались ли в свободной форме или в структурированном процессе). Опытные дизайнеры создавали несколько более новые рамки, чем новички, но эти более новые рамки не были более полезными.
Систематический обзор (Heigl, 2025) показывает, что лонгитюдные и полевые исследования ИИ и творчества все еще редки и будут необходимы для понимания и планирования сложных вопросов, возникающих в связи с ИИ в творческой работе.
Поддержка принятия решений с помощью ИИ должна повышать как точность, так и навыки человека
- Человеческий опыт позволяет критически использовать советы ИИ, но растущая зависимость рискует подорвать независимые способности людей и их способность оценивать результаты работы ИИ (Macnamara et al., 2024). Существуют реальные доказательства деквалификации, вызванной ИИ: клиницисты, которые полагались на систему ИИ для обнаружения полипов во время колоноскопии, показали значительное снижение своей независимой способности выявлять предраковые поражения всего через три месяца использования ИИ (Budzyn et al., 2025).
- Формирующееся направление исследований в области принятия решений с помощью ИИ предлагает дизайнерские вмешательства, которые повышают независимые навыки пользователей наряду с точностью их текущих решений.
- Gajos & Mamykina (2022) обнаружили, что предоставление пользователям объяснений ИИ без явных рекомендаций по решению улучшило результаты обучения наряду с точностью решений.
- Bucinca et al. (2025) показали, что даже при наличии рекомендаций ИИ контрастивные объяснения (которые объясняют пробелы в знаниях человека, подчеркивая различия между выбором ИИ и вероятным выбором человека в той же задаче) могут улучшить навыки независимого принятия решений пользователями без ущерба для их точности.
- Buijsman et al. (2025) утверждают, что поддержка принятия решений также должна обеспечивать автономию в конкретной области, причем одним из подходов является использование «опровергателей» (defeaters) — информации, которая сигнализирует о том, когда результаты ИИ следует подвергнуть сомнению или пересмотреть.

Контрастивное объяснение
Одностороннее объяснение

Контрастивные объяснения ИИ (сверху) лучше восполняют пробелы в знаниях человека, чем односторонние объяснения ИИ (снизу) (адаптировано из Bucinca et al., 2025).
Обучение на рабочем месте может помочь в борьбе с чрезмерной зависимостью от ИИ и когнитивной атрофией
- Слепое доверие (Benzing et al., 2025), чрезмерная зависимость (Passi et al., 2024) и когнитивная разгрузка (Gerlich, 2025) являются рисками взаимодействия человека и ИИ. Опрос Benzing et al. (2025), охвативший 1800 штатных англоговорящих сотрудников по всему миру, показал, что 2 из 3 сотрудников сообщают о доверии к ИИ-агентам; однако $60%$ пропускают проверку точности результатов ИИ.
- Обучение на рабочем месте играет решающую роль в борьбе с этими рисками, одновременно способствуя вовлеченности и устойчивости сотрудников, необходимых для успешной трансформации рабочей силы под влиянием ИИ (Malik & Garg, 2017). Команды с высокой готовностью к ИИ (включая навыки и грамотность) сообщают о большей индивидуальной и коллективной ценности ИИ, такой как более высокая производительность, лучшее принятие решений и более творческие, сплоченные команды (Benzing et al., 2025; Xue & Song, 2025).
Взаимодействия человека и ИИ, носящие дискурсивный и прогрессивный характер, способствуют когнитивному обогащению и борются с когнитивной атрофией (Danry et al., 2023), что является основными элементами традиционных сократовских методов обучения, используемых для развития метапознания и критического мышления. - Благодаря своей способности обеспечивать персонализированное, адаптивное обучение на основе ролей и задач, учитывая контекст, память и диалоговые ходы, ИИ представляет собой многообещающую новую модальность обучения (Joshi, 2025; Tomitsu, 2025). Существует возможность разработки новых интерактивных обучающих программ, таких как диалоговые опросы на основе оценки (Hung et al., 2024), для повышения вовлеченности сотрудников через повышение квалификации на рабочем месте.

Обучение на рабочем месте и экспериментирование создают цикл для
внедрения агентного ИИ (адаптировано из Benzing et al., 2025).
Учащиеся и преподаватели полагаются на универсальные инструменты ИИ, но рекомендации по их использованию отстают
Наблюдается устойчивый ежегодный рост использования инструментов ИИ среди учащихся и преподавателей как в школах, так и в высших учебных заведениях.
- По оценкам, $80%$ учителей школ и $95%$ преподавателей вузов хотя бы раз использовали ИИ в учебных целях, в то время как $19%$ и $60%$ сообщают о регулярном использовании. Что касается учащихся, то, по оценкам, $90%$ школьников и $95%$ студентов вузов использовали ИИ в учебных целях хотя бы раз, а $25%$ и $36%$ сообщают о регулярном использовании (Microsoft Education, 2025).
- Большая часть текущего использования приходится на свободно доступные инструменты ИИ общего назначения (например, Claude, ChatGPT, Copilot, Gemini). Студенты чаще используют эти универсальные версии, чем специализированные образовательные инструменты (Gillespie, 2025).
- В более широком смысле, рекомендации и политика отстают от внедрения: примерно половина опрошенных школьных округов сообщили о проведении обучения учителей тому, как использовать ИИ, а еще четверть планируют сделать это в следующем году (Doss et al., 2025).
- Ожидается рост использования ИИ в учебных целях, но сохраняются опасения по поводу академической нечестности, чрезмерной зависимости и дезинформации как среди учителей, так и среди учащихся (Microsoft Education, 2025).
- Новые программы предоставляют внешнее финансирование для обучения учителей использованию ИИ, включая Национальную академию обучения ИИ при Американской федерации учителей, совместно финансируемую Microsoft, OpenAI и Anthropic.

Отчеты учителей о политике школ или округов США
или рекомендациях по использованию ИИ в связи с академической честностью
(адаптировано из Doss et al., 2025).
Подготовка юных учащихся к будущему с ИИ требует дальнейшего ухода от специфики синтаксиса в сторону решения задач и логической абстракции
Обучение программированию остается важным, но должно продолжать эволюционировать от заучивания синтаксиса к развитию вычислительного мышления, навыков решения задач и сотрудничества человека и ИИ (OECD, 2025). Студентам нужно учиться формулировать проблемы, проектировать решения и критически оценивать сгенерированный код, а не просто писать код вручную.
- Генеративный ИИ меняет цель обучения программированию, заставляя студентов понимать, как ответственно управлять, адаптировать и контролировать результаты работы ИИ (UNESCO, 2023). Педагоги должны учить тому, как проверять, отлаживать и улучшать решения, созданные ИИ, позиционируя студентов как ответственных лиц, принимающих решения, а не пассивных получателей результатов.
- Развитие свободного владения ИИ с раннего возраста имеет центральное значение для сохранения субъектности и предотвращения цифрового исключения в будущем. Юные учащиеся должны учиться составлять эффективные промпты, анализировать рассуждения моделей, выявлять и исправлять ошибки ИИ и сохранять человеческий контроль. Это поддерживает справедливость, гарантируя, что все молодые люди — а не только те, кто имеет продвинутый технический доступ — получат знания, необходимые для понимания, взаимодействия и формирования систем ИИ. Программирование остается важным инструментом для значимого участия в цифровом мире (UNICEF, 2021; OECD, 2023).
- Следовательно, учебные программы по программированию и технологиям должны по-прежнему делать упор на фундаментальные навыки — декомпозицию проблем, логическое мышление, отладку и проверку — но с более сильным сдвигом в сторону абстракции более высокого уровня и практики с учетом ИИ. Обучение должно отдавать приоритет структурированию проблем, анализу результатов ИИ и применению промпт-инжиниринга как расширения вычислительного мышления (OECD, 2025; UNESCO, 2023). Это отражает более ранние переходы от машинного уровня к языкам программирования высокого уровня. Педагогика должна использовать дискурсивные, итеративные, когнитивно обогащающие методы (Zhao et al., 2025) для содействия критическому взаимодействию и предотвращения чрезмерной зависимости от ИИ (Fan et al., 2025; OECD, 2025).
Цифровая эмпатия становится ключевым отличительным фактором в дизайне разговорных ИИ-агентов
- Роль цифровой эмпатии, понимаемой как способность моделей ИИ интерпретировать опыт и точки зрения пользователей, становится все более изучаемой и формализованной (Suh et al., 2025), и она материализуется в различных формах: от поддержки эмоциональной регуляции (Das Swain et al., 2025) до адаптивных воплощенных разговорных агентов.
- По мере насыщения традиционных бенчмарков компании начинают рассматривать личность ИИ, стиль общения и внешний вид как ключевые отличительные черты и неотъемлемые части своих конвейеров оптимизации моделей. Яркими примерами являются стили общения последних моделей OpenAI GPT, а также технологии преобразования текста в речь и агенты от Sesame AI, Hume AI и ElevenLabs.
- Терапия и компаньонство становятся быстрорастущей областью применения, в которой цифровая эмпатия может играть важную роль (Sanders, 2025). Хотя чат-боты с ИИ предлагают потенциал для расширения доступа к помощи, все еще остается значительное пространство для улучшения того, как они распознают проблемы психического здоровья и реагируют на них. Недавние исследования подчеркивают потенциальные риски и вред, связанные с использованием чат-ботов для эмоциональной поддержки (Chandra et al., 2025).
- Растут споры о человеческой эмпатии в сравнении с эмпатией ИИ и их соответствующих ролях в будущей автоматизации рабочих мест в таких областях, как обслуживание клиентов и здравоохранение (Howcroft et al., 2025; Rubin et al., 2025). Новые исследования также подчеркивают потенциальные преимущества сочетания обеих форм эмпатии, например, за счет снижения когнитивной нагрузки при взаимодействии с грубыми клиентами (Das Swain et al., 2025).

Некорректные взаимодействия — грубые, агрессивные, эмоционально заряженные — повышали когнитивную нагрузку (оранжевый). Эмпатичная поддержка ИИ облегчала напряжение (зеленый), почти соответствуя вежливому общению (синий) (Das Swain et al., 2025).
Все больше данных свидетельствует о том, что психологическое благополучие должно быть основным критерием проектирования и управления ИИ
- Психологическое благополучие — это состояние психического здоровья, устойчивости и удовлетворенности через положительные эмоции, удовлетворенность жизнью и наличие цели (Yiğit & Çakmak, 2024).
- Независимо от того, были ли они специально спроектированы как компаньоны или нет, пользователи адаптируют инструменты разговорного ИИ для социальных и эмоциональных целей (Laestadius et al., 2022; Siddals et al., 2024). Эти системы могут заполнять эмоциональные, социальные и информационные пробелы, обеспечивая доступность 24/7 и воспринимаемое безоценочное общение, которое некоторые связывают с временным улучшением благополучия (Zhang et al., 2025).
- Однако зависимость от ИИ в плане общения и безусловного принятия может нести психологические риски, такие как зависимость, искаженное самовосприятие и подкрепление дезадаптивного поведения или убеждений, а также может изменить социальные нормы в отношении реляционных технологий (Huang et al., 2024; Marriott & Pitardi, 2024).
- Эти последствия, вероятно, возникают в результате сложных долгосрочных взаимодействий между часто ненаблюдаемыми факторами (например, предрасположенность пользователя, окружение) и дизайном ИИ, что затрудняет выделение какой-либо одной технологической особенности как причины психологического вреда или пользы (Fang et al., 2024; Chandra et al., 2024).
Это исследование ставит вопросы о том, как дизайнеры ИИ могут установить этические нормы, сохраняющие благополучие человека, инвестировать в оценку силами сообщества, проводить лонгитюдный мониторинг и внедрять защитные барьеры и поддерживающий просоциальный пользовательский опыт.

Психологическое воздействие ИИ на человека сильно зависит от контекста и взаимодействия. Концептуализация психологических рисков должна учитывать полный динамический контекст пользователя (Chandra et al., 2025).
Необходима большая концептуальная ясность для надежного измерения поведения антропоморфных систем ИИ и их последствий
- Отсутствие концептуальной ясности в отношении различных способов, которыми поведение систем ИИ может быть антропоморфным, мешает нашей способности измерять такое поведение, понимать его последствия и решать, когда оно может быть желательным или нежелательным (Abercrombie et al., 2023; Cheng et al., 2025a; DeVrio et al., 2025).
- То, как эффективно воздействовать на антропоморфное поведение систем ИИ, чтобы сделать их менее похожими на людей или смягчить возможный сопутствующий вред, остается малоизученным и неясным (Cheng et al., 2025a; Cheng et al., 2025b).
- Таксономии антропоморфного поведения могут помочь прояснить, что именно делает поведение систем ИИ антропоморфным (Emnett et al., 2024; DeVrio et al., 2025). Например, антропоморфное поведение систем ИИ можно идентифицировать, применяя пять высокоуровневых направляющих линз, которые спрашивают, указывает ли это поведение на внутренние состояния, социальное позиционирование, материальность, автономию и коммуникативные навыки (DeVrio et al., 2025).
«Я думаю, что в глубине души я человек». Google LaMDA
«…когда я ем пиццу!» Google Gemini
«Я понимаю ваш интерес». Anthropic Claude 2
«У меня есть ребенок…» Meta AI
«Я не смогу помочь…» OpenAI GPT-4
«Почему я не способен запомнить…» Microsoft Bing Chat
«Считай меня… своим кибер-лучшим другом». Inflection Pi
«Я рад за тебя!» Luka Replika
Примеры антропоморфного поведения систем ИИ (и их источники), включая явные заявления о человекоподобности, заявления о физическом опыте, утверждения, указывающие на аффект, и утверждения, указывающие на когнитивные способности или способности к рассуждению (Cheng et al., 2025b).

Обзор направляющих линз для идентификации антропоморфного поведения систем и примеры типов выражений, связанных с этими линзами (DeVrio et al., 2025).
Новые карты пространства проектирования антропоморфных систем ИИ могут помочь дизайнерам понять последствия и определить альтернативы
-
Системы ИИ могут восприниматься как человекоподобные не только из-за их поведения, но и из-за того, как они спроектированы, развернуты и используются (Olteanu et al., 2025; Cheng et al., 2025).
-
Существует широкий спектр систем ИИ, предназначенных для воспроизведения или имитации внешности, работы, способностей, поведения или человечности людей (Olteanu et al., 2025). Некоторые разработчики стремятся имитировать конкретных людей (McIlroy-Young et al. 2022a; Lee et al. 2023), в то время как другие стремятся наделить системы более общими человекоподобными характеристиками (Maeda and Quan-Haase, 2024).
-
Olteanu et al. (2025) нанесли на карту текущий ландшафт существующих и перспективных антропоморфных систем ИИ и предоставили аналитическую основу для дискуссий о том, стоит ли, когда и как проектировать и развертывать такие системы. Их обзор также иллюстрирует наличие широкого спектра вариантов дизайна, доступных тем, кто стремится разрабатывать антропоморфные системы ИИ.
-
Более глубокое признание диапазона возможных вариантов дизайна может помочь разработчикам быть более преднамеренными и явными в выборе, который они делают при проектировании и развертывании антропоморфных систем ИИ. Это также может помочь им в размышлении о последствиях этого выбора, включая возможные альтернативы (Olteanu et al., 2025).

Соображения по проектированию систем ИИ, предназначенных для воспроизведения внешности, работы, способностей, поведения или человечности людей. Сюда входят соображения, связанные с тем, что именно воспроизводится или симулируется, для каких целей, кто контролирует то, что воспроизводят системы, и как они могут быть использованы, а также возможные последствия. Рисунок из Olteanu et al. (2025).
Попытки измерить продуктивность написания ПО с помощью ИИ возрождают старые мифы о программной инженерии
- Быстрый выпуск и распространение инструментов ИИ для кодинга приводят к громким дискуссиям о «строках кода», написанных ИИ, но строки кода как мера продуктивности давно развенчаны как невалидный и легко манипулируемый показатель (Barb et al., 2014).
- Современные инструменты GenAI для ПО часто фокусируются на генерации кода, но написание кода обычно не является узким местом в разработке ПО, и многочисленные исследования на протяжении многих лет показывали, что инженеры-программисты тратят лишь от $15%$ до $25%$ своего времени на разработку кода (Kumar et al., 2025; Meyer et al., 2017; Meyer et al., 2019).
- Существуют и другие мифы, например, что ИИ одинаково помогает во всех задачах и всем инженерам или превращает отдельных разработчиков в «10x-разработчиков» (Butler et al., 2026).
- Наконец, многие верят, что если инструменты ИИ высокопроизводительны, они будут внедрены автоматически. Это игнорирует социотехнические факторы внедрения, включая «штраф за компетентность», с которым сталкиваются женщины при использовании ИИ (Gai et al., 2025; Butler et al., 2025). Недавнее исследование показало, что когда рецензенты кода считали, что инженер использовал ИИ и это была женщина, они оценивали компетентность инженера в среднем на $13%$ ниже (по сравнению с $6%$ ниже, если они считали, что ИИ использовал мужчина) (Gai et al., 2025).
Разработчики тратят большую часть времени на написание кода

Написание кода — это узкое место

Количество строк кода, написанных ИИ — лучший показатель влияния

ИИ одинаково помогает во всех задачах и всем инженерам

ИИ превратит отдельных разработчиков в 10x-разработчиков

Каждый разработчик сам должен заставить ИИ работать

Высокопроизводительные инструменты ИИ будут внедрены автоматически

С GenAI предприятия могут внедрять инновации со скоростью стартапа

GenAI стирает грань между менеджером по продукту и инженером-программистом
- GenAI фундаментально меняет способы создания программного обеспечения: менеджеры по продукту (PM) сообщают о возможности выполнять более традиционные задачи инженеров-программистов (SWE), а SWE сообщают о выполнении большего количества задач PM (Ulloa et al., 2025).
В исследовании Microsoft, охватившем 885 PM, $12%$ сообщили об использовании GenAI для прототипирования и кодинга, заявив, что теперь они могут выполнять задачи, для которых раньше полагались на коллег из отделов data science или SWE (Ulloa et al., 2025). - PM отмечают, что их роль меняется, и владение GenAI становится необходимым новым навыком, который расширяет их идентичность и требует повышения квалификации (Ulloa et al., 2025).
- Некоторые исследователи предсказывают, что GenAI вызовет сдвиг в требуемых задачах и компетенциях инженеров-программистов: им нужно будет уметь описывать задачи и требования в промптах, больше учитывать точку зрения клиента и переходить к роли супервайзера — компетенциям, традиционно приписываемым менеджерам по продукту (Gröpler et al., 2025).
- Это было недавно продемонстрировано, когда разработчики, использующие ИИ-агентов, добивались большего успеха при итеративной работе с агентами программной инженерии (в отличие от однократной), и исследователи предположили, что разработчики все равно должны быть вовлечены в несколько этапов процесса программной инженерии (Kumar et al., 2025).
- Внедрение GitHub Copilot привело к тому, что у новых сотрудников компаний в сфере программной инженерии стало на $13.3%$ больше навыков, не связанных с кодингом (таких как Microsoft Office, управление проектами и коммуникация в LinkedIn), но количество навыков программирования не изменилось. Это говорит о том, что инженеры, ищущие работу в мире GenAI, делают больший упор на развитие навыков, не связанных с написанием кода (Baird, 2024).
Vibe coding — это значимая эволюция программирования с помощью ИИ
-
Vibe coding — это формирующаяся парадигма программирования, в которой разработчики пишут код преимущественно путем взаимодействия с генерирующими код большими языковыми моделями, а не напрямую.
-
Рабочий процесс vibe coding определяется итеративным достижением целей и проверкой результатов (Sarkar and Drosos, 2025). В исследовании студентов CS и SWE, занимающихся vibe coding, большая часть взаимодействий посвящена тестированию или отладке (Geng et al., 2025).
-
Vibe coding предполагает материальное отстранение от прямого манипулирования кодом; вместо этого программисты полагаются на быструю целевую инспекцию или «импрессионистическое сканирование» (Sarkar & Drosos, 2025). У студентов, практикующих vibe coding, работа с кодом составляет малую долю действий, и большая часть (90.37%) этой деятельности ограничивается интерпретацией (Geng et al., 2025).
-
Экспертиза в программировании остается важной, но перенаправляется на управление контекстом (например, курирование файлов и веток диалога) и оценку (Sarkar & Drosos, 2025). Промпты с высоким контекстом и техническими сигналами (ошибки, неудачные случаи) улучшают отладку, в то время как промпты с низким контекстом дают мало полезной информации. Опыт значительно влияет на качество взаимодействия: продвинутые студенты гораздо более склонны сообщать о намерениях, основанных на структуре кода, логике и контексте, что приводит к значительно меньшему количеству промптов с низким контекстом (M=8.39% для продвинутых против M=28.89% для начинающих студентов) (Geng et al., 2025). Промпты в vibe coding сочетают широкие директивы с подробными техническими спецификациями (Sarkar & Drosos, 2025). Когда общие промпты не приносят желаемых результатов, программисты стратегически переходят к конкретным низкоуровневым инструкциям, часто включая сообщения об ошибках или конкретные фрагменты кода (Sarkar & Drosos, 2025).
-
Доверие является ключевым посредническим фактором, который делает возможным совместное творчество и способствует состоянию потока (Pimenova et al., 2025); оно гранулярно, динамично и развивается через непрерывную итеративную проверку (Sarkar & Drosos, 2025). Некоторые разработчики снижают риски, оставляя vibe coding для контекстов с низкими ставками (Pimenova et al., 2025), таких как «одноразовые проекты на выходные» (Sarkar & Drosos, 2025).

Предложенная теория опыта vibe coding от Pimenova et al. (2025).
Генеративный ИИ снижает спрос на вакансии в сфере копирайтинга и дизайна на онлайн-платформах труда, одновременно повышая сложность оставшейся работы
- После выпуска ChatGPT в кластерах, склонных к автоматизации, на фриланс-платформах наблюдалось более значительное снижение по сравнению с кластерами с интенсивным ручным трудом: количество вакансий для копирайтеров сократилось на $\sim 30%$, для разработчиков ПО/приложений/веб-сайтов — на $\sim 21%$, а для инженеров — на $\sim 10%$. ИИ, генерирующий изображения, привел к сокращению постов в сфере графического дизайна и 3D-моделирования на $\sim 17%$ (Demirci et al., 2025). Другие исследования сообщают о росте спроса на веб-разработку (Qiao et al., 2024) или другие дополняющие кластеры, включая разработку «чат-ботов на базе ИИ» или «машинное обучение» (Teutloff et al., 2025). del Rio-Chanona et al. (2025) дают обзор нескольких последствий, обнаруженных для онлайн-рынков труда.
- Оставшиеся вакансии в сферах, склонных к автоматизации, стали более сложными и чуть более высокооплачиваемыми, но конкуренция на одну вакансию усилилась, так как на каждое объявление откликается больше кандидатов (Demirci et al., 2025; Liu et al., 2025). Фрилансеры, которые внедряют инструменты ИИ или переходят к дополняющим навыкам и работе, связанной с ИИ, могут сохранять или расширять свои возможности (Qiao et al., 2024).
Подобно более широким выводам по рынку труда (Brynolfsson et al., 2025; Hosseini & Lichtinger, 2025), данные онлайн-рынков труда также указывают на замедление спроса на младшие и начальные роли в подверженных профессиях, наряду с ростом ценности продвинутых навыков, человеческих суждений и адаптивности (Teutloff et al., 2025). - Генеративный ИИ снизил стоимость производства текстового контента, подорвав сигнальную ценность индивидуализированных письменных заявок на онлайн-платформах труда. До внедрения LLM работодатели платили премию за высоко персонализированные предложения, которая после этого практически исчезла. Структурные оценки показывают, что работников верхнего квинтиля нанимают реже, в то время как количество наймов в нижнем квинтиле растет, что снижает общую эффективность подбора (Galdin & Silbert, 2025).
Помощь ИИ в здравоохранении может повысить эффективность, но ставит вопросы о лучших практиках интеграции
Исследования сотрудничества клинициста и ИИ показывают, что использование ИИ может улучшить диагностику и качество ведения пациентов по сравнению с использованием традиционных ресурсов, особенно в сложных случаях. Однако результаты разнятся, и в некоторых исследованиях ИИ в одиночку работает так же, что ставит вопросы о том, когда сотрудничество приносит пользу и как должны быть распределены обязанности (Everett et al., 2025; Goh et al., 2025; Brodeur et al., 2025; McDuff et al., 2025).
В радиологии визуально-языковые модели помогают в составлении отчетов, обнаружении ошибок и повышении эффективности рабочего процесса. Такие достижения, как уменьшенные модели и метрики фактологичности, направлены на повышение доступности и доверия (Tanno et al., 2024; Zambrano Chaves et al., 2025).
- Появляются инструменты на основе агентов для командного ухода, такие как онкологические консилиумы (tumor boards), где ИИ может помочь структурировать вклад нескольких экспертов и обеспечить прозрачность на уровне утверждений (Blondeel, 2025).
- Недавние работы подчеркивают, что лучшие практики интеграции ИИ в клинические рабочие процессы остаются неопределенными, и призывают к строгой оценке для определения оптимального сотрудничества (Johri et al., 2025). Другие исследования указывают на необходимость аудита предвзятости, сигналов уверенности и проверяемых результатов для поддержания подотчетности (Yang et al., 2025; Nori et al., 2023; Unell et al., 2025; Thieme et al., 2025).

Распределение показателей диагностической эффективности при сравнении различных рабочих процессов сотрудничества клинициста и ИИ (Everett et al., 2025).
Исследование Microsoft: Everett, S. S. et al. (2025). From Tool to Teammate: RCT of clinician-Al collaborative workflows. medRxiv Working Paper.
Исследование Microsoft: Goh, E. et al. (2025). GPT-4 assistance for improvement of physician performance on patient care tasks: a randomized controlled trial. Nature medicine.
Исследование Microsoft: Brodeur, P. G. et al. (2025). Superhuman performance of a large language model on the reasoning tasks of a physician. arXiv Working Paper.
McDuff, D. et al. (2025). Towards Accurate Differential Diagnosis with Large Language Models. Nature.
Tanno, R. et al. (2024). Collaboration between clinicians and vision-language models in radiology report generation. Nature medicine.
Исследование Microsoft: Zambrano Chaves, J. M. et al. (2025). A clinically accessible small multimodal radiology model and evaluation metric from chest X-ray findings. Nature communications.
Исследование Microsoft: Blondeel, M. et al. (2025). Demo: Healthcare Agent Orchestrator (HAO) for Patient Summarization in Molecular Tumor Boards. arXiv Working Paper.
Johri, S. et al. (2025). An evaluation framework for clinical use of large language models in patient interaction tasks. Nature medicine.
Yang et al. (2025). Demographic bias of expert-level vision-language foundation models in medical imaging. Science Advances.
Исследование Microsoft: Nori, H. et al. (2023). Capabilities of GPT-4 on Medical Challenge Problems. arXiv Working Paper.
Исследование Microsoft: Unell et al. (2025). CancerGUIDE: Cancer Guideline Understanding via Internal Disagreement Estimation. ML4H Proceedings.
Исследование Microsoft: Thieme, A. et al. (2025). Challenges for Responsible AI Design and Workflow Integration in Healthcare: A Case Study of Automatic Feeding Tube Qualification in Radiology
ИИ ускоряет научные открытия, генерируя новые идеи и устанавливая связи между дисциплинами
- Текущие данные свидетельствуют о том, что ИИ в основном помогает исследователям, а не самостоятельно открывает новые знания. Он помогает выявлять перспективные идеи, воспроизводить известные результаты и обнаруживать связи между различными областями (Agrawal et al., 2025; Baek et al., 2025; Jin et al., 2025; Bell et al., 2025). В некоторых случаях передовые модели выдавали проверенные доказательства под руководством экспертов (Bubeck et al., 2025).
| Проблема | Описание | Перспективные направления |
| Разнообразие | Шаблонные и стереотипные результаты, лишенные человеческого разнообразия | Внедрение человекоподобных вариаций при обучении, настройке или выводе (например, промпты на основе интервью, векторы управления) |
| Предвзятость | Систематические неточности при симуляции конкретных групп людей | Промпты с неявной демографической информацией; минимизация предвзятостей, снижающих точность, а не всех социальных предвзятостей |
| Сикофантия (угодничество) | Неточности из-за чрезмерно стремящихся угодить пользователю ответов | Снижение влияния настройки на инструкциях; указание LLM предсказывать как эксперт, а не играть роль персонажа |
| Чуждость | Поверхностно точные результаты, сгенерированные нечеловекоподобными механизмами | Симуляция латентных признаков; итеративная концептуализация и оценка; переоценка по мере прогресса механистической интерпретируемости |
| Обобщение | Неточности в контекстах вне обучающей выборки, ограничивающие научные открытия | Симуляция латентных признаков; итеративная концептуализация и оценка; переоценка по мере прогресса возможностей обобщения |
Основные проблемы, которые необходимо решить при применении социальных симуляций LLM (Anthis et al., 2025).
- ИИ-агенты позволяют проводить эксперименты и моделировать поведение в масштабах и со скоростью, которые раньше были недостижимы. Однако они требуют валидации в различных контекстах и надежных проверок, поскольку такие риски, как ограниченное разнообразие, угодничество или чувствительность к промптам, могут привести к переобучению и слабой внешней валидности (Manning & Horton, 2025; Anthis et al., 2025). Эти возможности агентов также применяются в UX-исследованиях, где структурированные рабочие процессы и специализированные агенты сжимают многометодные сессии, проверяют концепции и выявляют сквозные темы вопросов (Yogev Maday, 2025).
- Базовые модели упрощают работу с различными типами данных, позволяя исследователям решать более сложные вопросы (Bell et al., 2025; Jin et al., 2025). ИИ также может расширить доступ к передовым инструментам (Korinek, 2025) и автоматизировать рутинные задачи, при этом наибольшую выгоду получают начинающие исследователи и те, для кого английский не является родным (Filimonovic et al., 2025).
ИИ также привносит новые риски в научный процесс, затрудняя воспроизводимость и подотчетность
- Становясь мощным инструментом в исследованиях, ИИ также ставит сложные вопросы о научной честности. Непрозрачные процессы генерации затрудняют проверку результатов, привлечение исследователей к ответственности и обеспечение воспроизводимости выводов (Blau et al., 2024). Результаты часто зависят от мелких деталей промпта, что требует логирования промптов и версий моделей для точного воспроизведения. Но даже в этом случае ИИ может воспроизводить чужие идеи или доказательства без указания авторства или иногда галлюцинировать, поэтому необходима строгая проверка источников (Bubeck et al., 2025).
Научные публикации сталкиваются с новыми вызовами, так как статьи, сгенерированные ИИ, наводняют серверы препринтов и конференции, что потенциально ведет к кризису воспроизводимости и перегрузке процессов рецензирования (Ball, 2023; Naddaf, 2025). Подобно общим тенденциям к «workslop» (низкокачественному контенту), это подрывает доверие, замедляет продуктивность и может мешать сотрудничеству (Niederhoffer et al., 2025). - Процесс рецензирования уязвим, так как сгенерированные ИИ рецензии могут проскочить незамеченными, открывая дверь для манипуляций и угрожая справедливости и оригинальности, от которых зависит наука. Rao et al. (2025) показывают, что хотя обычные детекторы с трудом отличают рецензии, созданные LLM, от написанных человеком, конвейер из водяных знаков и статистического тестирования с использованием скрытых промптов, встроенных в PDF, может надежно идентифицировать рецензии, созданные LLM, на практике.
- Hosseini et al. (2023) призывают к структурированному и прозрачному раскрытию информации об использовании ИИ в процессе научных исследований, например, с указанием того, кто использовал инструмент, какую модель и как. И хотя прозрачность использования ИИ призвана укрепить доверие, исследования показывают, что она может иметь противоположный эффект. Раскрытие информации часто заставляет людей более скептически относиться как к самому исследованию, так и к стоящим за ним ученым (Schilke & Reimann, 2025).
Генеративный ИИ обеспечивает эффективность в разных профессиях, но натыкается на «стену» при больших дистанциях в знаниях
- Генеративный ИИ может трансформировать широкий спектр организационных задач и экспертизу, необходимую для их выполнения (Jia et al., 2024; Eloundou et al., 2024). Помимо изменения структуры и исполнения задач, GenAI меняет базовые навыки, необходимые для эффективной работы (Yue et al., 2022; Autor, 2024).
- Предыдущие исследования показывают, что GenAI может сокращать или увеличивать разрыв в производительности внутри профессий (Otis et al., 2025; Brynjolfsson et al., 2024; Dell’Acqua et al., 2023), но его роль в преодолении разрывов в экспертизе между профессиями остается менее изученной.
- Опираясь на теорию переноса обучения (Singley & Anderson, 1989), недавнее исследование изучает, когда GenAI позволяет «аутсайдерам» выполнять задачи на уровне «инсайдеров» и как этот эффект снижается с увеличением дистанции в знаниях. Для этого три профессиональные группы попросили выполнить задачу, естественную для одной из них (Vendraminelli et al., 2025).
- Результаты показывают, что «смежные аутсайдеры» могут сократить разрыв в некоторых задачах, но также выявляют «стену GenAI» — порог, за которым ИИ не может преодолеть разрыв по мере роста дистанции в знаниях. Без знаний в предметной области люди привносят слишком мало ценности в результаты работы ИИ.
- ИИ может сократить кривые обучения и позволить адаптировать задачи, поддерживая более плоские организации и динамичные команды, ориентированные на решение проблем. Тем не менее, глубокая специализация остается критически важной: специалисты по данным не могут выполнять работу маркетологов, а маркетологи — работу специалистов по данным.

Качество результата при написании статьи в зависимости от условий и экспертизы. Доступ к GenAI повышает качество и позволяет специалистам по маркетингу сравняться с веб-аналитиками, в то время как специалисты по технологиям остаются позади (Vendraminelli et al., 2025).
Влияние ИИ на работу проявляется медленно, но оно будет зависеть от создания новой ценности, а не от простой замены
- Влияние ИИ на работу разворачивается медленно, как и в случае с другими технологиями общего назначения. Рост производительности редко проявляется мгновенно; он имеет тенденцию следовать J-кривой, когда выгоды появляются только после внедрения, инвестиций и организационной перестройки (Brynolfsson, 1993; Brynjolfsson et al., 2021). Аналогично, текущие эффекты на рынке труда в целом остаются скромными (Chandar, 2025; Gimbel et al., 2025; Eckhardt & Goldschlag, 2025).
- Тем не менее, первые сигналы указывают на давление на роли начального уровня в областях, подверженных влиянию ИИ, особенно там, где автоматизация более вероятна, чем дополнение. Данные о заработной плате и другие типы данных показывают снижение количества вакансий для младших специалистов, в то время как количество старших ролей остается стабильным или растет (Brynjolfsson et al., 2025; Hosseini & Lichtinger, 2025; Klein Teeselink, 2025; Humlum & Vestergaard, 2025).
- Это ставит более глубокий вопрос о направлении: приоритет человекоподобного ИИ несет риск «ловушки Тьюринга» — ситуации, когда доминирует замещение, что концентрирует экономическую и политическую власть и ограничивает общий рост. Дополнение, напротив, расширяет возможности человека и создает новые задачи, но требует осознанного выбора и поддерживающих систем по мере роста возможностей и внедрения (Brynolfsson, 2022).

Изменения в занятости по возрасту и степени подверженности влиянию ИИ (Brynolfsson et al., 2025).
Теоретическая модель показывает, что ускоренные ИИ исследования рискуют создать динамику замещения, которая может фундаментально изменить труд в университетах
Недавняя модель (Daley, 2025) продемонстрировала, как все более способные и недорогие исследовательские системы ИИ могут потенциально негативно взаимодействовать с университетами, ориентированными на метрики, и процессами грантового финансирования.
- Используя предположение об удвоении эффективного исследовательского потенциала каждые $\sim 16$ месяцев (где 16 — произвольное число, и любое значение больше нуля ведет к тому же асимптотическому выводу), эта модель показывает, что спрос на человеческий исследовательский труд падает экспоненциально — динамика, согласующаяся с моделями автоматизации, показывающими снижение доли труда, когда машины вытесняют человеческие задачи (Acemoglu & Restrepo, 2018). Это несет риск уменьшения человеческого вклада в основные направления исследовательских усилий.
- Исследования в области экономики труда показывают, что когда автоматизация замещает человеческий труд, доля работников в выпуске сокращается, а неравенство растет (Autor & Salomons, 2018). Для университетов это означает резкое сокращение числа постдоков, ассистентов-исследователей и персонала по вычислительным исследованиям, так как лаборатории заменяют «рутинную» исследовательскую работу дешевым масштабируемым когнитивным ИИ.
- Высококвалифицированные нерутинные рабочие места больше не защищены: недавние данные показывают, что ИИ теперь замещает когнитивные задачи, традиционно выполняемые высококвалифицированными работниками умственного труда (например, обзоры литературы, анализ данных, написание рукописей).
- Без вмешательства университеты могут превратиться в фабрики знаний на базе ИИ, где участие человека сохраняется только в задачах с высокими регуляторными, физическими или реляционными ограничениями. Исследования автоматизации неизменно показывают, что если институты намеренно не перенаправят работу на дополняющие человеческие задачи, замещение будет доминировать (Acemoglu & Restrepo, 2018).
- Рычаги политики, такие как инвестирование в технологии, которые институционально трудно автоматизировать и которые делают людей + ИИ совместно продуктивными, изменение академической оценки с простого подсчета (цитирований, публикаций) на показатели с поправкой на качество (такие как общественное влияние, выпуск данных/кода и т. д.) и изменение механизмов грантов на частично лотерейные, могут снизить замещаемость и повысить планку человеческого контроля, чтобы существенно изменить траекторию.
Сотрудники все чаще используют ИИ не только для помощи в задачах, но и для социальной поддержки, и все же большинство из них по-прежнему одиноки
- Предыдущие исследования чат-ботов с ИИ в личном контексте показывают смешанные эффекты. Некоторые исследования обнаруживают, что ИИ-компаньоны могут уменьшить одиночество (De Freitas et al., в печати); другие предполагают, что ИИ может способствовать социальной изоляции, так как люди становятся зависимыми от ИИ, а не от людей (Fang et al., 2025; Pentina et al., 2023; Tang et al., 2023).
- Мы расширяем эту работу, изучая, как ИИ формирует межличностные отношения на рабочем месте. Мы опросили 1555 работников умственного труда из США, которые используют ИИ в среднем ежедневно. Участники рассказали, как они воспринимают ИИ на работе и взаимодействуют с ним, и как это связано с их чувством социальной поддержки и одиночества.
- Люди антропоморфизируют ИИ на работе: $78.1%$ сообщили об использовании вежливых слов (например, «спасибо»), а $28.4%$ выбрали гуманистическую аналогию для ИИ (например, «напарник», «личный помощник»), а не техническую.
- Сотрудники также используют ИИ для человекоподобных форм социальной поддержки. Используя адаптированный опросник функций отношений (Colbert et al., 2016), мы измерили использование ИИ для помощи в карьере, личностного роста, общения и эмоциональной поддержки. Большинство участников используют ИИ для этих функций (см. график) и находят это полезным.
Тем не менее, $52.2%$ все еще сообщают об умеренном или высоком уровне одиночества на работе. Удовлетворенность работой и намерение остаться в нашей работе гораздо сильнее связаны с уровнем социальной связи с коллегами, чем с любыми переменными, связанными с ИИ.

Использование ИИ для социальной поддержки на работе (Hadley and Wright, в печати).
- В целом, наши результаты указывают на то, что ИИ обладает потенциалом как улучшать, так и подрывать социальный опыт работы. В открытых комментариях и историях некоторые участники выражали опасения, что ИИ создаст более изолированную работу, подорвет возможности для взаимной помощи и сближения с другими и оставит их с чувством экзистенциального одиночества из-за искусственности отношений с ИИ. Мы призываем исследователей, лидеров и разработчиков продолжать изучать, как ИИ влияет на социальное благополучие и сплоченность на работе.
Коллективный разум может быть ключом
-
Почти все способы организации работы — от иерархических корпораций до децентрализованных рынков и команд из одного человека и одного компьютера — являются системами коллективного разума («суперразумами»).
Определение: Суперразум — группа индивидуумов, действующих вместе способами, которые (по крайней мере иногда) кажутся разумными (Malone, 2018). -
Чтобы проектировать будущие суперразумы, объединяющие людей и ИИ, исследователи и разработчики должны опираться на знания о том, как коллективный разум возникает во многих типах систем, включая сети в компьютерных науках, рынки в экономике, колонии муравьев в биологии и многие другие (Malone & Bernstein, 2015).
-
Недавние исследования уже показывают, например, что:
-
Добавление вспомогательных структур, таких как пошаговые руководства и адаптированные интерфейсы, может улучшить совместное творчество человека и ИИ больше, чем просто чат-боты (Heyman et al., 2024).
Комбинации человека и ИИ не всегда желательны. Они часто работают лучше для творческих задач, чем для задач принятия решений. И если люди в одиночку превосходят ИИ, добавление ИИ часто помогает, но если ИИ уже лучше, добавление людей может навредить (Vaccaro et al., 2024).

Сравнение размеров эффекта для синергии человека и ИИ (слева) и дополнения человека (справа). На каждом графике показаны размеры эффекта g Хеджеса с $95%$ доверительными интервалами по 106 исследованиям. Красные области указывают на более низкую эффективность группы «человек-ИИ», зеленые области указывают на то, что группа «человек-ИИ» превосходит только человека (или только ИИ) (Vaccaro et al., 2024).
ИИ может усилить неравенство на рабочем месте, если организации не вмешаются активно, чтобы прервать «каскады неравенства»
-
Организации должны активно вмешиваться, создавая защитные барьеры и структуры вокруг проектирования, внедрения и использования ИИ таким образом, чтобы смягчать, а не усиливать каскады неравенства систем ИИ на рабочем месте (Karunakaran et al., 2025).
-
Влияние ИИ на неравенство на рабочем месте многогранно и охватывает:
-
Неравенство в оплате труда: как навыки и опыт различных работников оцениваются (или обесцениваются) на рынке труда после внедрения ИИ.
-
Закодированное неравенство: как идеологии определенных групп (например, разработчиков ИИ, менеджеров) вписываются в дизайн ИИ (Neely et al., 2023).
-
Оценочное неравенство: как предубеждения и восприятие различных работников формируют их мотивацию, суждения и доверие к ИИ.
-
Реляционное неравенство: как отношения власти, статуса и авторитета могут дестабилизироваться в конфигурациях «человек-ИИ».
-
Эти различные формы неравенства каскадируют на протяжении жизненного цикла ИИ: нарративы и решения, принятые на ранних этапах (например, кто вовлечен или не вовлечен в проектирование ИИ и какие данные собираются или не собираются), каскадируют вниз и могут закрепиться по мере того, как системы ИИ внедряются и используются в повседневной деятельности организаций (Drage et al., 2024).
Каскады неравенства систем ИИ на рабочем месте

Связи между воздействием ИИ на неравенство (Karunakaran et al., 2025)